When referring to the Spectral Atlas, please cite our publication:
Keller-Rudek, H., Moortgat, G. K., Sander, R., and Sörensen,
R.: The MPI-Mainz UV/VIS spectral atlas of gaseous molecules of
atmospheric interest, Earth Syst. Sci. Data, 5, 365–373, (2013),
DOI: 10.5194/essd-5-365-2013
|
Species:
| NAME: | 1,1,1,3,3,3-hexafluoropropanol-2 |
| FORMULA: | (CF3)2CHOH |
|
CAS RN: | 920-66-1 |
STRUCTURE
(FROM
NIST):
|
|
|
InChIKey: | BYEAHWXPCBROCE-UHFFFAOYSA-N |
Graphical Representations:
Data Sets:
|
Formula |
Author(Year) |
T |
λ |
 |
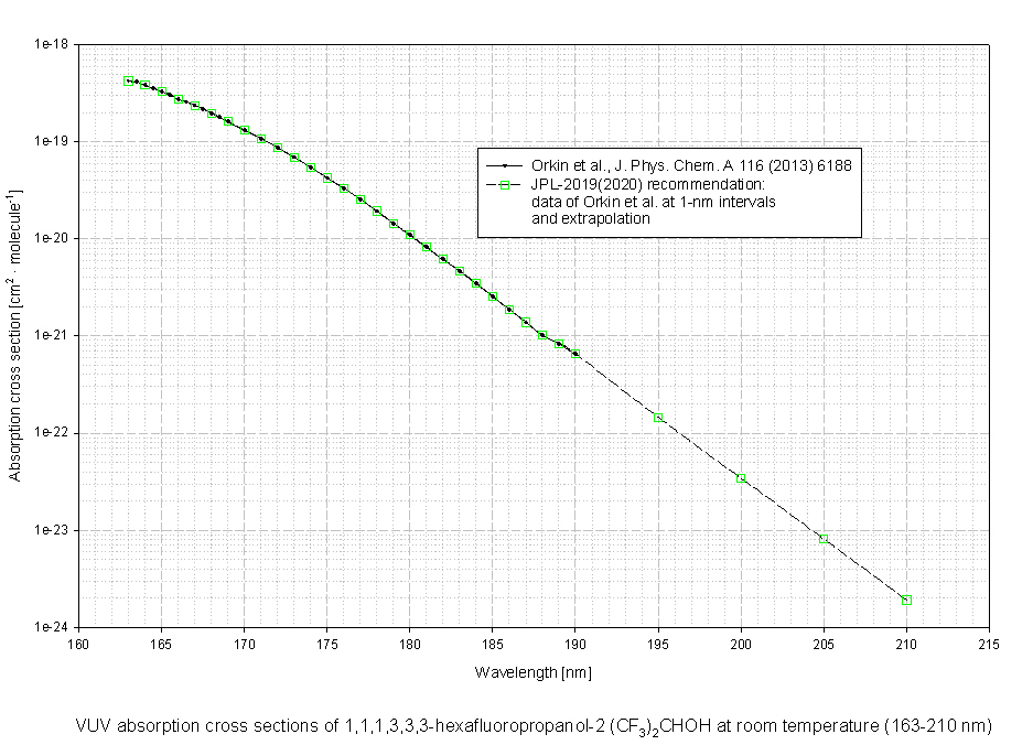
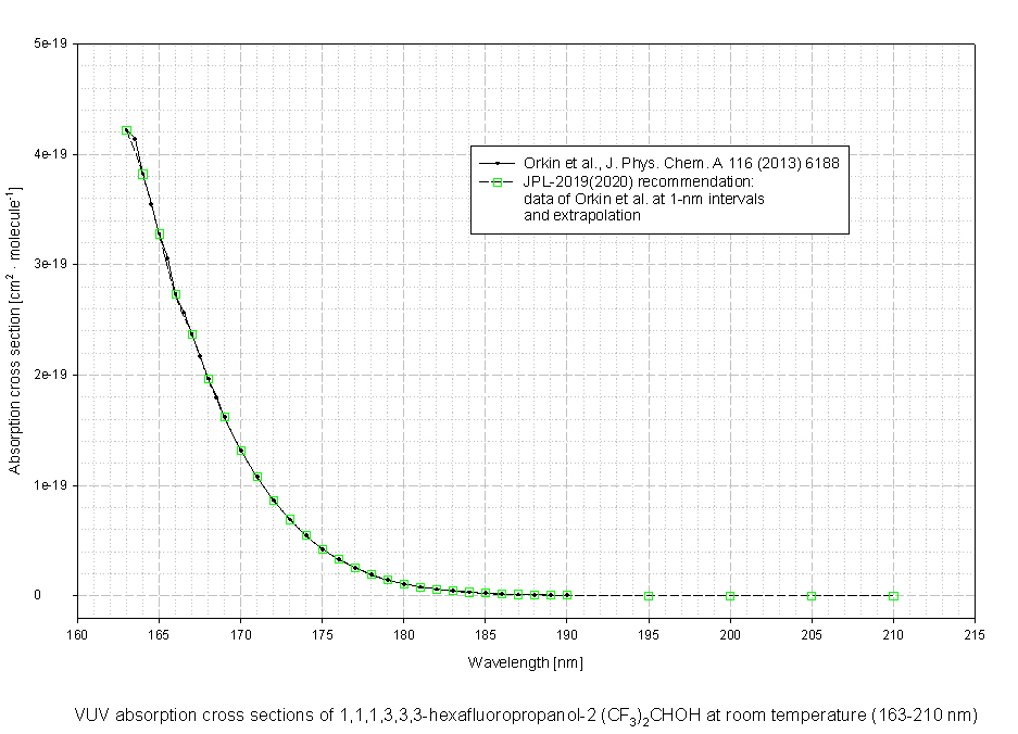
(CF3)2CHOH |
JPL-2019(2020) |
295K |
121.567-210nm(rec) |
 |
(CF3)2CHOH |
Orkin(2012) |
298K |
163-190nm |
 |
(CF3)2CHOH |
SalahubSandorfy(1971) |
298K |
121.1-177.5nm |
 |
(CF3)2CHOH |
SalahubSandorfy(1971) |
298K |
135,155nm(max) |
|
Search cross sections
|