When referring to the Spectral Atlas, please cite our publication:
Keller-Rudek, H., Moortgat, G. K., Sander, R., and Sörensen,
R.: The MPI-Mainz UV/VIS spectral atlas of gaseous molecules of
atmospheric interest, Earth Syst. Sci. Data, 5, 365–373, (2013),
DOI: 10.5194/essd-5-365-2013
|
Species:
| NAME: | 1,1,1,3,3,3-hexafluoro-2-(trifluoromethyl)-2-propanol, perfluoro-tert-butanol |
| FORMULA: | (CF3)3COH |
|
CAS RN: | 2378-02-1 |
STRUCTURE
(FROM
NIST):
|
|
Graphical Representations:
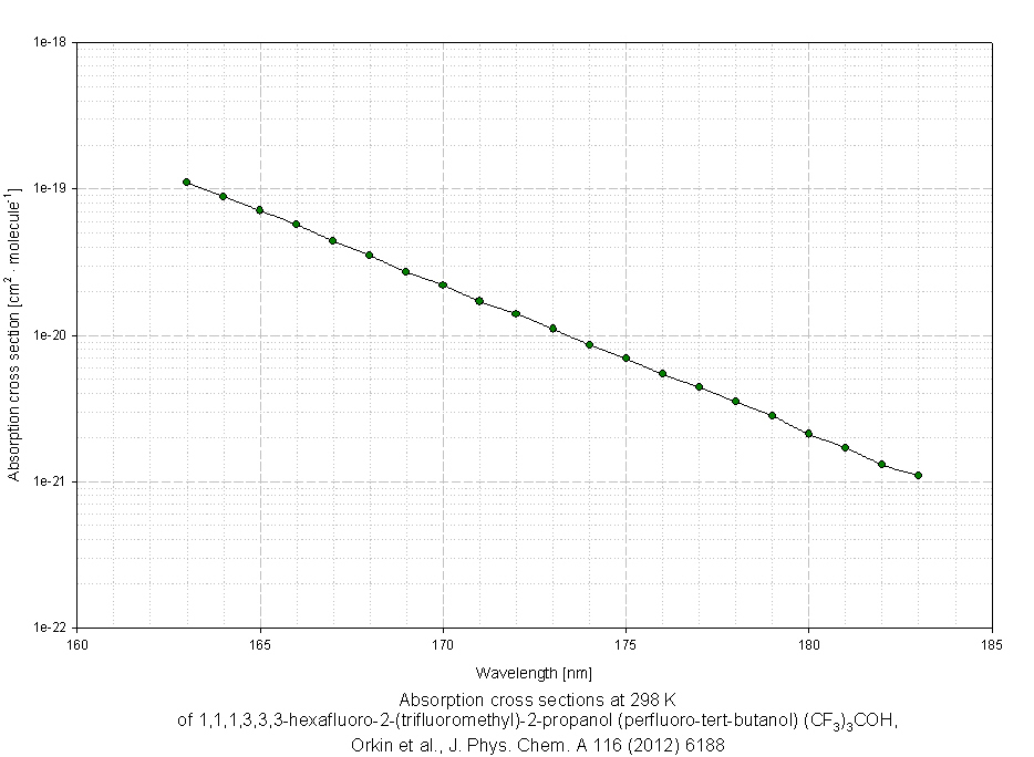
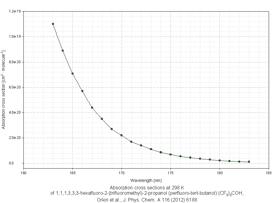
Data Sets:
|
Formula |
Author(Year) |
T |
λ |
 |
(CF3)3COH |
Orkin(2012) |
298K |
163-183nm |
|
Search cross sections
|