When referring to the Spectral Atlas, please cite our publication:
Keller-Rudek, H., Moortgat, G. K., Sander, R., and Sörensen,
R.: The MPI-Mainz UV/VIS spectral atlas of gaseous molecules of
atmospheric interest, Earth Syst. Sci. Data, 5, 365–373, (2013),
DOI: 10.5194/essd-5-365-2013
|
Species:
| NAME: | 2-methyl-2-butanol |
| FORMULA: | (CH3)2C(OH)CH2CH3 |
|
CAS RN: | 75-85-4 |
STRUCTURE
(FROM
NIST):
|
|
|
InChIKey: | MSXVEPNJUHWQHW-UHFFFAOYSA-N |
Graphical Representations:
Data Sets:
|
Formula |
Author(Year) |
T |
λ |
 |
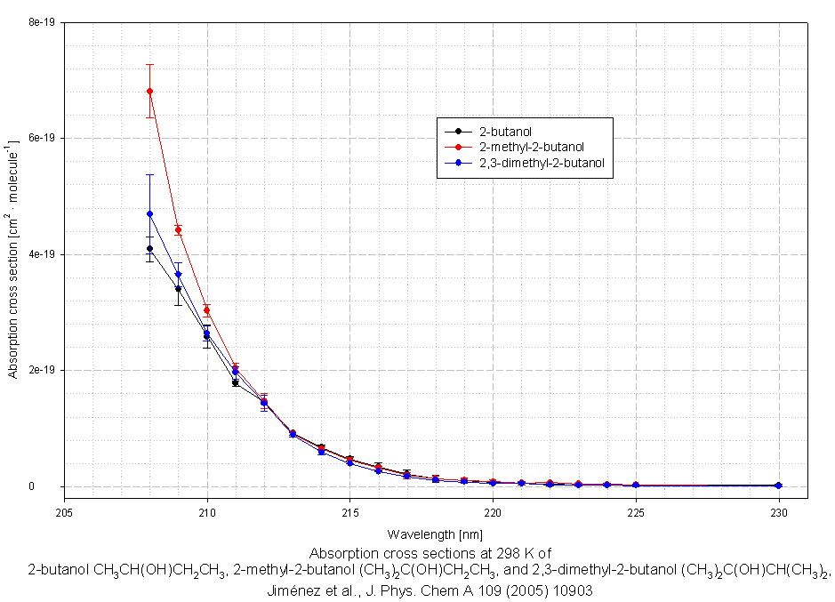
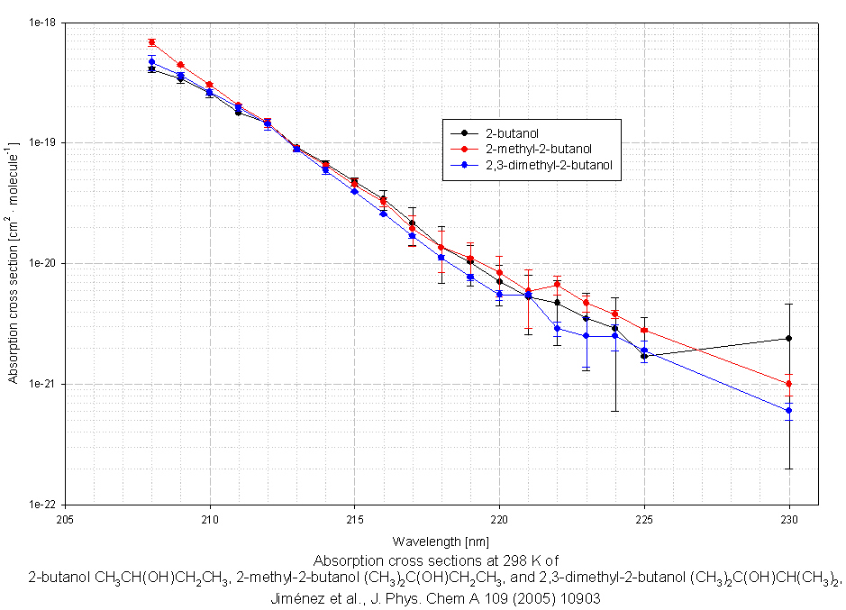
(CH3)2C(OH)CH2CH3 |
Jimenez(2005) |
298K |
208-230nm |
|
Search cross sections
|