When referring to the Spectral Atlas, please cite our publication:
Keller-Rudek, H., Moortgat, G. K., Sander, R., and Sörensen,
R.: The MPI-Mainz UV/VIS spectral atlas of gaseous molecules of
atmospheric interest, Earth Syst. Sci. Data, 5, 365–373, (2013),
DOI: 10.5194/essd-5-365-2013
|
Species:
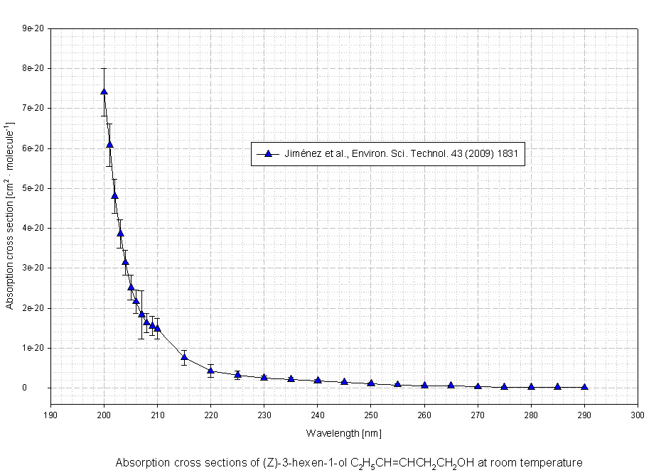
| NAME: | (Z)-3-hexen-1-ol |
| FORMULA: | C2H5CH=CHCH2CH2OH |
|
CAS RN: | 928-96-1 |
STRUCTURE
(FROM
NIST):
|
|
|
InChIKey: | UFLHIIWVXFIJGU-ARJAWSKDSA-N |
Graphical Representations:
Data Sets:
|
Formula |
Author(Year) |
T |
λ |
 |
C2H5CH=CHCH2CH2OH |
DavisBurkholder(2011) |
297K |
185nm |
 |
C2H5CH=CHCH2CH2OH |
Jimenez(2009) |
298K |
185nm |
 |
C2H5CH=CHCH2CH2OH |
Jimenez(2009) |
298K |
200-290nm |
|
Search cross sections
|