When referring to the Spectral Atlas, please cite our publication:
Keller-Rudek, H., Moortgat, G. K., Sander, R., and Sörensen,
R.: The MPI-Mainz UV/VIS spectral atlas of gaseous molecules of
atmospheric interest, Earth Syst. Sci. Data, 5, 365–373, (2013),
DOI: 10.5194/essd-5-365-2013
|
Species:
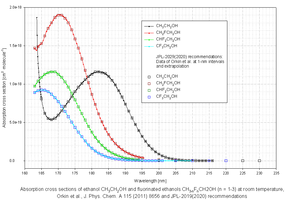
| NAME: | 2,2,2-trifluoroethanol |
| FORMULA: | CF3CH2OH |
|
CAS RN: | 75-89-8 |
STRUCTURE
(FROM
NIST):
|
|
|
InChIKey: | RHQDFWAXVIIEBN-UHFFFAOYSA-N |
Graphical Representations:
Data Sets:
|
Formula |
Author(Year) |
T |
λ |
 |
CF3CH2OH |
JPL-2019(2020) |
295K |
121.567-220nm(rec) |
 |
CF3CH2OH |
Orkin(2011) |
295K |
163.0-209.5nm |
 |
CF3CH2OH |
SalahubSandorfy(1971) |
298K |
119.9-191.0nm |
 |
CF3CH2OH |
SalahubSandorfy(1971) |
298K |
139,143,166nm(max) |
|
Search cross sections
|