When referring to the Spectral Atlas, please cite our publication:
Keller-Rudek, H., Moortgat, G. K., Sander, R., and Sörensen,
R.: The MPI-Mainz UV/VIS spectral atlas of gaseous molecules of
atmospheric interest, Earth Syst. Sci. Data, 5, 365–373, (2013),
DOI: 10.5194/essd-5-365-2013
|
Species:
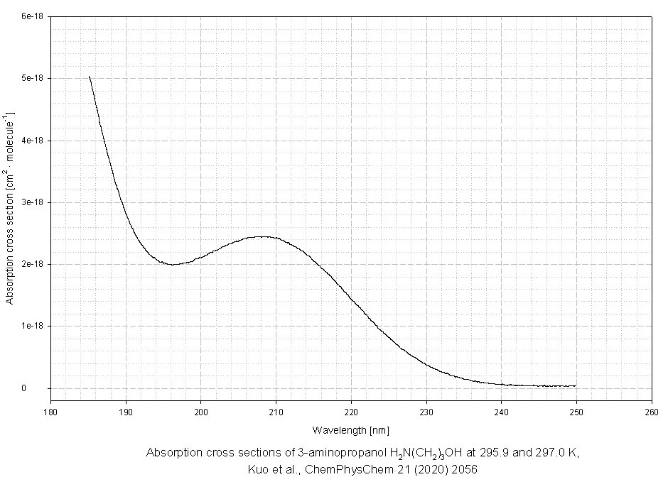
| NAME: | 3-aminopropanol |
| FORMULA: | H2N(CH2)3OH |
|
CAS RN: | 156-87-6 |
STRUCTURE
(FROM
NIST):
|
|
|
InChIKey: | WUGQZFFCHPXWKQ-UHFFFAOYSA-N |
Graphical Representations:
Data Sets:
|
Formula |
Author(Year) |
T |
λ |
 |
H2N(CH2)3OH |
Kuo(2020) |
295.9,297.0K |
185-250nm |
|
Search cross sections
|