When referring to the Spectral Atlas, please cite our publication:
Keller-Rudek, H., Moortgat, G. K., Sander, R., and Sörensen,
R.: The MPI-Mainz UV/VIS spectral atlas of gaseous molecules of
atmospheric interest, Earth Syst. Sci. Data, 5, 365–373, (2013),
DOI: 10.5194/essd-5-365-2013
|
Species:
| NAME: | n-hexene-1 |
| FORMULA: | n-C6H12-1 |
|
CAS RN: | 592-41-6 |
STRUCTURE
(FROM
NIST):
|
|
|
InChIKey: | LIKMAJRDDDTEIG-UHFFFAOYSA-N |
Graphical Representations:
Data Sets:
|
Formula |
Author(Year) |
T |
λ |
 |
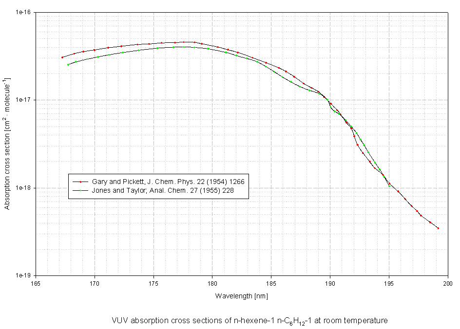
n-C6H12-1 |
GaryPickett(1954) |
298K |
166.2-199.2nm |
 |
n-C6H12-1 |
JonesTaylor(1955) |
298K |
167-195nm |
 |
n-C6H12-1 |
Koizumi(1989) |
298K |
35.57-130.50nm |
|
Search cross sections
|