When referring to the Spectral Atlas, please cite our publication:
Keller-Rudek, H., Moortgat, G. K., Sander, R., and Sörensen,
R.: The MPI-Mainz UV/VIS spectral atlas of gaseous molecules of
atmospheric interest, Earth Syst. Sci. Data, 5, 365–373, (2013),
DOI: 10.5194/essd-5-365-2013
|
Species:
| NAME: | 2-methyl-1,3-butadiene, isoprene |
| FORMULA: | CH2=C(CH3)CH=CH2 |
|
CAS RN: | 78-79-5 |
STRUCTURE
(FROM
NIST):
|
|
|
InChIKey: | RRHGJUQNOFWUDK-UHFFFAOYSA-N |
Graphical Representations:
Data Sets:
|
Formula |
Author(Year) |
T |
λ |
 |
CH2=C(CH3)CH=CH2 |
Campuzano-Jost(2004) |
297K |
203-233nm |
 |
CH2=C(CH3)CH=CH2 |
Cias(2007) |
293K |
1651.52nm |
 |
CH2=C(CH3)CH=CH2 |
Dillon(2017) |
298K |
184.95nm |
 |
CH2=C(CH3)CH=CH2 |
Dillon(2017) |
298K |
194-234nm |
 |
CH2=C(CH3)CH=CH2 |
JacobsPlatt(1948) |
298K |
173-231nm |
 |
CH2=C(CH3)CH=CH2 |
JonesTaylor(1955) |
298K |
167-228nm |
 |
CH2=C(CH3)CH=CH2 |
Martins(2009) |
298K |
116.0-269.0nm |
 |
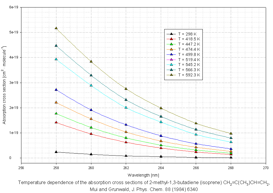
CH2=C(CH3)CH=CH2 |
MuiGrunwald(1984) |
298K |
258-268nm |
 |
CH2=C(CH3)CH=CH2 |
MuiGrunwald(1984) |
418.5K |
258-268nm |
 |
CH2=C(CH3)CH=CH2 |
MuiGrunwald(1984) |
447.2K |
258-268nm |
 |
CH2=C(CH3)CH=CH2 |
MuiGrunwald(1984) |
474.4K |
258-268nm |
 |
CH2=C(CH3)CH=CH2 |
MuiGrunwald(1984) |
499.8K |
258-268nm |
 |
CH2=C(CH3)CH=CH2 |
MuiGrunwald(1984) |
519.4K |
258-268nm |
 |
CH2=C(CH3)CH=CH2 |
MuiGrunwald(1984) |
545.2K |
258-268nm |
 |
CH2=C(CH3)CH=CH2 |
MuiGrunwald(1984) |
566.3K |
258-268nm |
 |
CH2=C(CH3)CH=CH2 |
MuiGrunwald(1984) |
592.3K |
258-268nm |
 |
CH2=C(CH3)CH=CH2 |
Sahay(2013) |
296K |
261-275nm |
 |
CH2=C(CH3)CH=CH2 |
Wang(2024) |
293-296K |
197.00-235.06nm |
|
Search cross sections
|