When referring to the Spectral Atlas, please cite our publication:
Keller-Rudek, H., Moortgat, G. K., Sander, R., and Sörensen,
R.: The MPI-Mainz UV/VIS spectral atlas of gaseous molecules of
atmospheric interest, Earth Syst. Sci. Data, 5, 365–373, (2013),
DOI: 10.5194/essd-5-365-2013
|
Species:
| NAME: | carbon dioxide |
| FORMULA: | CO2 |
|
CAS RN: | 124-38-9 |
STRUCTURE
(FROM
NIST):
|
|
|
InChIKey: | CURLTUGMZLYLDI-UHFFFAOYSA-N |
Graphical Representations:
Data Sets:
|
Formula |
Author(Year) |
T |
λ |
 |
CO2 |
Archer(2013) |
295K |
86.955-98.039nm |
 |
CO2 |
Archer(2013) |
295K |
98.039-109.890nm |
 |
CO2 |
Babcock(1976) |
298K |
162-200nm |
 |
CO2 |
Barrus(1979) |
298K |
2.056-2.450nm |
 |
CO2 |
Bastien(1985) |
298K |
114.4-166.5nm |
 |
CO2 |
Bennett(1971) |
295K |
58.4nm |
 |
CO2 |
Bragg(1985) |
298K |
1315nm |
 |
CO2 |
BrionTan(1978) |
298K |
20.7-58.5nm(e,e) |
 |
CO2 |
CairnsSamson(1965) |
298K |
30-104nm |
 |
CO2 |
Chan(1993) |
298K |
6.1-145nm(e,e) |
 |
CO2 |
Cook(1966) |
295K |
60-99.5nm |
 |
CO2 |
DeMorePatapoff(1972) |
298K |
184.57-202.74nm |
 |
CO2 |
Gardiner(1987) |
1340-3100K |
214nm(fit) |
 |
CO2 |
Gardiner(1987) |
1383-2915K |
214nm(meas) |
 |
CO2 |
Hartinger(2000) |
650-1300K |
193.4nm(fit) |
 |
CO2 |
Hartinger(2000) |
673-1273K |
193.4nm(meas) |
 |
CO2 |
Heimerl(1970) |
295K |
165-182nm |
 |
CO2 |
Hitchcock(1980) |
298K |
15.5-155nm(e,e) |
 |
CO2 |
HuestisBerkowitz(2010) |
300K |
0.1254-201.6nm(evaluation) |
 |
CO2 |
Inn(1953) |
298K |
106-175nm |
 |
CO2 |
Inn(1953) |
298K |
106.4-118.8nm |
 |
CO2 |
Inn(1953) |
298K |
115.8-145.1nm |
 |
CO2 |
Inn(1953) |
298K |
140.0-175.0nm |
 |
CO2 |
Ityaksov(2008) |
298K |
197.70-201.58nm(corr) |
 |
CO2 |
Ityaksov(2008) |
298K |
197.70-270.15nm(meas) |
 |
CO2 |
Jensen(1997) |
1523K |
250nm |
 |
CO2 |
Jensen(1997) |
1818K |
250nm |
 |
CO2 |
Jensen(1997) |
2073K |
250,340,355nm |
 |
CO2 |
Jensen(1997) |
2273K |
250,355nm |
 |
CO2 |
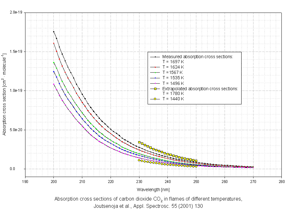
Joutsenoja(2001) |
1440K |
230-250nm(extrapol) |
 |
CO2 |
Joutsenoja(2001) |
1496K |
200-270nm |
 |
CO2 |
Joutsenoja(2001) |
1500K |
200-250nm |
 |
CO2 |
Joutsenoja(2001) |
1535K |
200-270nm |
 |
CO2 |
Joutsenoja(2001) |
1567K |
200-270nm |
 |
CO2 |
Joutsenoja(2001) |
1624K |
200-270nm |
 |
CO2 |
Joutsenoja(2001) |
1697K |
200-270nm |
 |
CO2 |
Joutsenoja(2001) |
1780K |
230-250nm(extrapol) |
 |
CO2 |
Karaiskou(2004) |
295K |
200-220nm |
 |
CO2 |
Karaiskou(2004) |
373K |
200-206nm |
 |
CO2 |
Kuo(2004) |
298K |
104-120nm |
 |
CO2 |
Kuo(2004) |
298K |
104.2-112.9nm(max) |
 |
CO2 |
Kuo(2004) |
298K |
120-170nm |
 |
CO2 |
LaVilla(1975) |
298K |
2.216-2.367nm |
 |
CO2 |
Lee(1973) |
298K |
17.7-73.8nm |
 |
CO2 |
LewisCarver(1983) |
200K |
121-193nm |
 |
CO2 |
LewisCarver(1983) |
300K |
121-193nm |
 |
CO2 |
LewisCarver(1983) |
370K |
121-193nm |
 |
CO2 |
LucchesiniGozzini(2005) |
294K |
782.2357-782.8003nm(max) |
 |
CO2 |
LucchesiniGozzini(2005) |
294K |
782.8929-786.9969nm(max) |
 |
CO2 |
LucchesiniGozzini(2007) |
294K |
788.5011-788.7686nm(max) |
 |
CO2 |
LucchesiniGozzini(2007) |
294K |
789.4429-792.0290nm(max) |
 |
CO2 |
Nakata(1965) |
298K |
58.27-114.93nm |
 |
CO2 |
Nakata(1965) |
298K |
58.27-90.94nm |
 |
CO2 |
Oehlschlaeger(2004) |
1500-4290K |
244nm(meas) |
 |
CO2 |
Oehlschlaeger(2004) |
1500-4500K |
216.5nm(fit) |
 |
CO2 |
Oehlschlaeger(2004) |
1500-4500K |
244nm(fit) |
 |
CO2 |
Oehlschlaeger(2004) |
1500-4500K |
266nm(fit) |
 |
CO2 |
Oehlschlaeger(2004) |
1500-4500K |
306nm(fit) |
 |
CO2 |
Oehlschlaeger(2004) |
1550-3930K |
216.5nm(meas) |
 |
CO2 |
Oehlschlaeger(2004) |
1630K |
190-310nm(fit) |
 |
CO2 |
Oehlschlaeger(2004) |
1630K |
216.5,244,266nm(fit) |
 |
CO2 |
Oehlschlaeger(2004) |
1690-4490K |
266nm(meas) |
 |
CO2 |
Oehlschlaeger(2004) |
2010K |
190-310nm(fit) |
 |
CO2 |
Oehlschlaeger(2004) |
2010K |
216.5,244,266nm(fit) |
 |
CO2 |
Oehlschlaeger(2004) |
2310K |
190-310nm(fit) |
 |
CO2 |
Oehlschlaeger(2004) |
2310K |
216.5,244,266nm(fit) |
 |
CO2 |
Oehlschlaeger(2004) |
2575-4310K |
306nm(meas) |
 |
CO2 |
Oehlschlaeger(2004) |
2610K |
190-310nm(fit) |
 |
CO2 |
Oehlschlaeger(2004) |
2610K |
216.5-306nm(fit) |
 |
CO2 |
Oehlschlaeger(2004) |
3050K |
190-310nm(fit) |
 |
CO2 |
Oehlschlaeger(2004) |
3050K |
216.5-306nm(fit) |
 |
CO2 |
Ogawa(1971) |
298K |
171-216nm |
 |
CO2 |
Parkinson(2003) |
195K |
163-192.5nm |
 |
CO2 |
Parkinson(2003) |
295K |
163-200nm |
 |
CO2 |
Preston(1940) |
298K |
121.57nm |
 |
CO2 |
Rabalais(1971) |
298K |
122-214nm |
 |
CO2 |
RebbertAusloos(1971) |
298K |
74nm |
 |
CO2 |
Reilhac(1969) |
298K |
10.9-52.1nm |
 |
CO2 |
ReilhacDamany(1977) |
298K |
10.0-50.0nm |
 |
CO2 |
SamsonHaddad(1988) |
298K |
12-33nm |
 |
CO2 |
Schulz(2002) |
1160K |
189-225nm |
 |
CO2 |
Schulz(2002) |
1390K |
189-241nm |
 |
CO2 |
Schulz(2002) |
1630K |
189-250nm |
 |
CO2 |
Schulz(2002) |
2010K |
189-266nm |
 |
CO2 |
Schulz(2002) |
2310K |
189-280nm |
 |
CO2 |
Schulz(2002) |
2610K |
189-290nm |
 |
CO2 |
Schulz(2002) |
3050K |
189-315nm |
 |
CO2 |
Schulz(2002) |
880K |
189-205nm |
 |
CO2 |
Schulz(2002) |
940K |
189-216nm |
 |
CO2 |
Shaw(1995) |
298K |
34.6-80.0nm |
 |
CO2 |
Shemansky(1972) |
298K |
169.57-300.00nm |
 |
CO2 |
Sivkov(1984) |
298K |
2.1752-2.3453nm |
 |
CO2 |
Sivkov(1984) |
298K |
3.6661-4.3575nm |
 |
CO2 |
Stark(2007) |
195K |
106.15-118.70nm |
 |
CO2 |
Stark(2007) |
295K |
106.11-118.70nm |
 |
CO2 |
Starr(1976) |
300K |
130.2,130.5,130.6nm |
 |
CO2 |
StarrLoewenstein(1972) |
298K |
58.43nm |
 |
CO2 |
SunWeissler(1955) |
295K |
37-131nm |
 |
CO2 |
Thompson(1963) |
298K |
175-198nm |
 |
CO2 |
Venot(2018) |
150K |
114.2-178.4nm |
 |
CO2 |
Venot(2018) |
170K |
114.0-185.9nm |
 |
CO2 |
Venot(2018) |
195K |
114.4-195.0nm |
 |
CO2 |
Venot(2018) |
230K |
114.1-195.0nm |
 |
CO2 |
Venot(2018) |
300K |
115.3-187.5nm |
 |
CO2 |
Venot(2018) |
420K |
115.0-183.0nm |
 |
CO2 |
Venot(2018) |
500K |
115.0-185.0nm |
 |
CO2 |
Venot(2018) |
585K |
115.0-216.0nm |
 |
CO2 |
Venot(2018) |
700K |
115.8-220.0nm |
 |
CO2 |
Venot(2018) |
800K |
116.9-230.0nm |
 |
CO2 |
Watanabe(1952) |
298K |
121.57nm |
 |
CO2 |
Watanabe(1953) |
298K |
120-175nm |
 |
CO2 |
WilkinsonJohnston(1950) |
303K |
144.1-166.7nm(meas) |
 |
CO2 |
WilkinsonJohnston(1950) |
303K |
144.2-166.8nm(smoo) |
 |
CO2 |
Yoshino(1996) |
195K |
117.8-175.5nm |
 |
CO2 |
Yoshino(1996) |
195K |
121-172nm(absolute) |
 |
CO2 |
Yoshino(1996) |
195K |
121.63-169.25nm(max) |
 |
CO2 |
Yoshino(1996) |
295K |
118.7-175.5nm |
 |
CO2 |
Yoshino(1996) |
295K |
121-172nm(absolute) |
 |
CO2 |
Yoshino(1996) |
295K |
121.68-169.25nm(max) |
 |
CO2 |
ZuevStarikovskii(1990) |
1279-4499K |
210nm(fit) |
 |
CO2 |
ZuevStarikovskii(1990) |
1320-4450K |
216.4nm(fit) |
 |
CO2 |
ZuevStarikovskii(1990) |
1342-4316K |
216.4nm(meas) |
 |
CO2 |
ZuevStarikovskii(1990) |
1347-4315K |
210nm(meas) |
 |
CO2 |
ZuevStarikovskii(1990) |
1468-4484K |
230nm(fit) |
 |
CO2 |
ZuevStarikovskii(1990) |
1533-4542K |
236.4nm(fit) |
 |
CO2 |
ZuevStarikovskii(1990) |
1587-4345K |
250nm(fit) |
 |
CO2 |
ZuevStarikovskii(1990) |
1624-4343K |
256.4nm(fit) |
 |
CO2 |
ZuevStarikovskii(1990) |
1909-4333K |
236.4nm(meas) |
 |
CO2 |
ZuevStarikovskii(1990) |
1917-4325K |
230nm(meas) |
 |
CO2 |
ZuevStarikovskii(1990) |
1946-4161K |
256.4nm(meas) |
 |
CO2 |
ZuevStarikovskii(1990) |
1947-4170K |
250nm(meas) |
 |
CO2 |
ZuevStarikovskii(1990) |
2123-3944K |
290nm(fit) |
 |
CO2 |
ZuevStarikovskii(1990) |
2168-3847K |
290nm(meas) |
 |
CO2 |
ZuevStarikovskii(1990) |
2348-4009K |
296.4nm(fit) |
 |
CO2 |
ZuevStarikovskii(1990) |
2512-3855K |
296.4nm(meas) |
 |
CO2 |
ZuevStarikovskii(1990) |
2865-3509K |
350nm(fit) |
 |
CO2 |
ZuevStarikovskii(1990) |
3018-3324K |
350nm(meas) |
 |
CO2 |
ZuevStarikovskii(1990) |
955-4513K |
196.4nm(fit) |
 |
CO2 |
ZuevStarikovskii(1990) |
959-4490K |
190nm(fit) |
 |
CO2 |
ZuevStarikovskii(1990) |
970-4220K |
190nm(meas) |
 |
CO2 |
ZuevStarikovskii(1990) |
979-4248K |
196.4nm(meas) |
|
Search cross sections
|