When referring to the Spectral Atlas, please cite our publication:
Keller-Rudek, H., Moortgat, G. K., Sander, R., and Sörensen,
R.: The MPI-Mainz UV/VIS spectral atlas of gaseous molecules of
atmospheric interest, Earth Syst. Sci. Data, 5, 365–373, (2013),
DOI: 10.5194/essd-5-365-2013
|
Species:
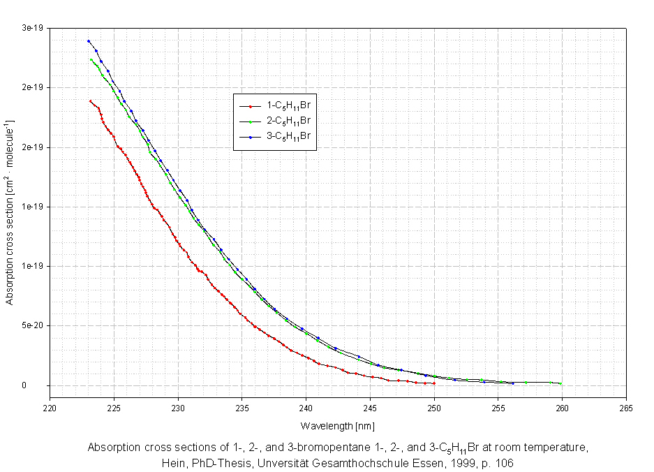
| NAME: | 1-bromopentane |
| FORMULA: | 1-C5H11Br |
|
CAS RN: | 110-53-2 |
STRUCTURE
(FROM
NIST):
|
|
|
InChIKey: | YZWKKMVJZFACSU-UHFFFAOYSA-N |
Graphical Representations:
Data Sets:
|
Formula |
Author(Year) |
T |
λ |
 |
1-C5H11Br |
Hein(1999) |
293K |
223.1-250.0nm |
 |
1-C5H11Br |
Hein(1999) |
293K |
248nm |
|
Search cross sections
|