When referring to the Spectral Atlas, please cite our publication:
Keller-Rudek, H., Moortgat, G. K., Sander, R., and Sörensen,
R.: The MPI-Mainz UV/VIS spectral atlas of gaseous molecules of
atmospheric interest, Earth Syst. Sci. Data, 5, 365–373, (2013),
DOI: 10.5194/essd-5-365-2013
|
Species:
| NAME: | bromomethane-d3, methyl-d3 bromide |
| FORMULA: | CD3Br |
|
CAS RN: | 1111-88-2 |
STRUCTURE
(FROM
NIST):
|
|
|
InChIKey: | GZUXJHMPEANEGY-FIBGUPNXSA-N |
Graphical Representations:
Data Sets:
|
Formula |
Author(Year) |
T |
λ |
 |
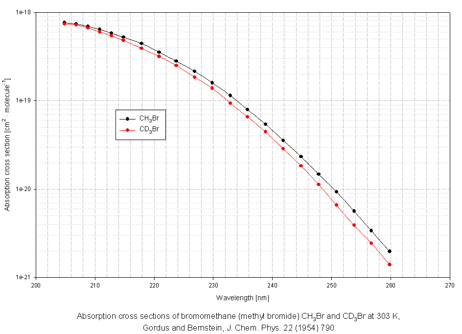
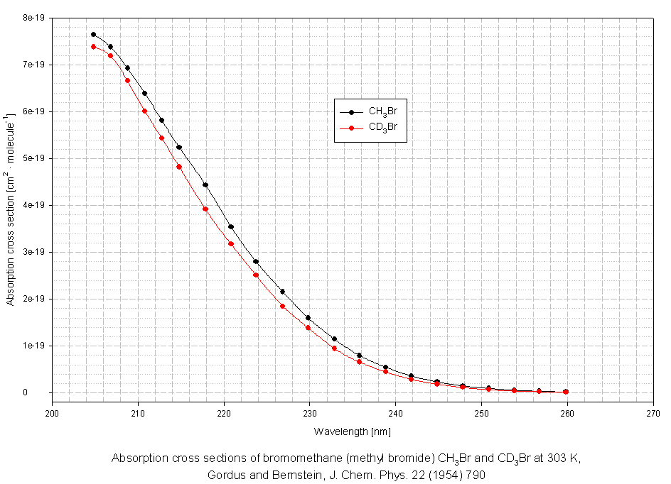
CD3Br |
GordusBernstein(1954) |
303K |
204-260nm |
 |
CD3Br |
Locht(2005) |
298K |
103-206nm |
 |
CD3Br |
PersonNicole(1971) |
298K |
105.38-122.98nm |
|
Search cross sections
|