When referring to the Spectral Atlas, please cite our publication:
Keller-Rudek, H., Moortgat, G. K., Sander, R., and Sörensen,
R.: The MPI-Mainz UV/VIS spectral atlas of gaseous molecules of
atmospheric interest, Earth Syst. Sci. Data, 5, 365–373, (2013),
DOI: 10.5194/essd-5-365-2013
|
Species:
| NAME: | bromomethane, methyl bromide |
| FORMULA: | CH3Br |
|
CAS RN: | 74-83-9 |
STRUCTURE
(FROM
NIST):
|
|
|
InChIKey: | GZUXJHMPEANEGY-UHFFFAOYSA-N |
Graphical Representations:
Data Sets:
|
Formula |
Author(Year) |
T |
λ |
 |
CH3Br |
CausleyRussell(1975) |
298K |
121.0-153.6nm |
 |
CH3Br |
CausleyRussell(1975) |
298K |
158.4-180.0nm |
 |
CH3Br |
CausleyRussell(1975) |
298K |
173.0-232.7nm |
 |
CH3Br |
Davidson(1951) |
298K |
205-270nm |
 |
CH3Br |
Felps(1991) |
294K |
201.6nm |
 |
CH3Br |
FinkGoodeve(1937) |
293K |
186.87-289.09nm(smoo) |
 |
CH3Br |
FinkGoodeve(1937) |
293K |
190.88-288.43nm(meas) |
 |
CH3Br |
GedankenRowe(1975) |
298K |
180.1-247.4nm |
 |
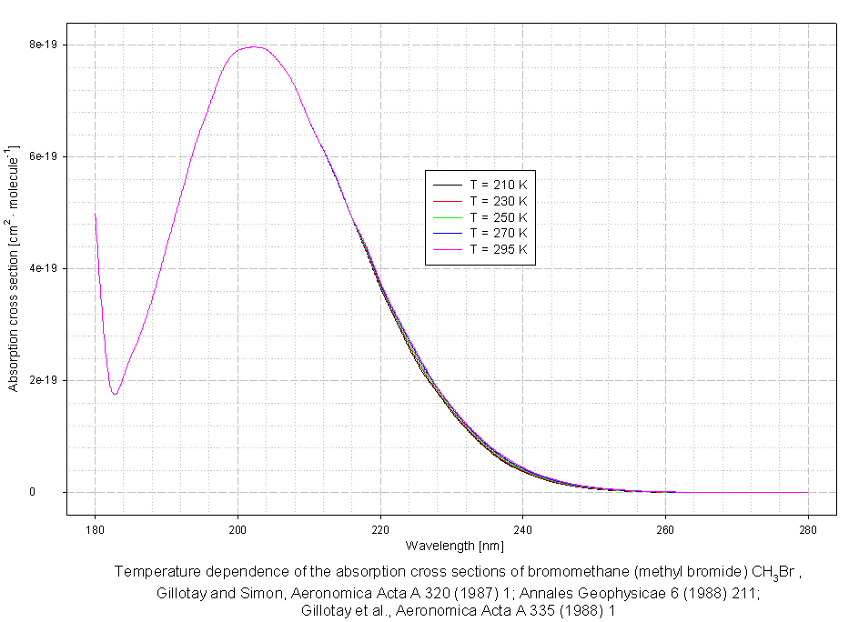
CH3Br |
GillotaySimon(1987,1988) |
210K |
180-280nm(2nm) |
 |
CH3Br |
GillotaySimon(1987,1988) |
210K |
180-282nm(int-c) |
 |
CH3Br |
GillotaySimon(1987,1988) |
230K |
180-280nm(2nm) |
 |
CH3Br |
GillotaySimon(1987,1988) |
230K |
180-282nm(int-c) |
 |
CH3Br |
GillotaySimon(1987,1988) |
250K |
180-280nm(2nm) |
 |
CH3Br |
GillotaySimon(1987,1988) |
250K |
180-282nm(int-c) |
 |
CH3Br |
GillotaySimon(1987,1988) |
270K |
180-280nm(2nm) |
 |
CH3Br |
GillotaySimon(1987,1988) |
270K |
180-282nm(int-c) |
 |
CH3Br |
GillotaySimon(1987,1988) |
295K |
180-280nm(2nm) |
 |
CH3Br |
GillotaySimon(1987,1988) |
295K |
180-282nm(int-c) |
 |
CH3Br |
GordusBernstein(1954) |
303K |
204-260nm |
 |
CH3Br |
IUPAC(2008) |
210K |
212-260nm(rec) |
 |
CH3Br |
IUPAC(2008) |
295K |
190-260nm(rec) |
 |
CH3Br |
JPL-2010(2011) |
295-296K |
174-290nm(rec) |
 |
CH3Br |
JPL-2015(2015) |
296K |
182-290nm(rec) |
 |
CH3Br |
Kozlov(2003) |
295K |
164-180nm |
 |
CH3Br |
Locht(2005) |
298K |
103-207nm |
 |
CH3Br |
Locht(2005) |
298K |
50-200nm |
 |
CH3Br |
Man(1996) |
298K |
179.9-262.1nm |
 |
CH3Br |
Molina(1982) |
298K |
190-290nm |
 |
CH3Br |
Olney(1997) |
298K |
2.8-199nm(e,e) |
 |
CH3Br |
PersonNicole(1971) |
298K |
105.21-122.98nm |
 |
CH3Br |
Robbins(1976) |
298K |
174-270nm |
 |
CH3Br |
SPARC(2013) |
298K |
121.567nm(rec) |
 |
CH3Br |
Uthman(1978) |
295K |
200-260nm |
|
Search cross sections
|