When referring to the Spectral Atlas, please cite our publication:
Keller-Rudek, H., Moortgat, G. K., Sander, R., and Sörensen,
R.: The MPI-Mainz UV/VIS spectral atlas of gaseous molecules of
atmospheric interest, Earth Syst. Sci. Data, 5, 365–373, (2013),
DOI: 10.5194/essd-5-365-2013
|
Species:
| NAME: | tribromomethane, bromoform |
| FORMULA: | CHBr3 |
|
CAS RN: | 75-25-2 |
STRUCTURE
(FROM
NIST):
|
|
|
InChIKey: | DIKBFYAXUHHXCS-UHFFFAOYSA-N |
Graphical Representations:
Data Sets:
|
Formula |
Author(Year) |
T |
λ |
 |
CHBr3 |
CausleyRussell(1975) |
298K |
112.0-200.0nm |
 |
CHBr3 |
CausleyRussell(1975) |
298K |
184.2-270.5nm |
 |
CHBr3 |
CoxPenkett(1987) |
298K |
204-345nm |
 |
CHBr3 |
Gillotay(1989) |
210K |
169-290nm(int-c) |
 |
CHBr3 |
Gillotay(1989) |
210K |
170-290nm(2nm) |
 |
CHBr3 |
Gillotay(1989) |
230K |
169-290nm(int-c) |
 |
CHBr3 |
Gillotay(1989) |
230K |
170-290nm(2nm) |
 |
CHBr3 |
Gillotay(1989) |
250K |
169-290nm(int-c) |
 |
CHBr3 |
Gillotay(1989) |
250K |
170-290nm(2nm) |
 |
CHBr3 |
Gillotay(1989) |
270K |
169-290nm(int-c) |
 |
CHBr3 |
Gillotay(1989) |
270K |
170-290nm(2nm) |
 |
CHBr3 |
Gillotay(1989) |
295K |
169-290nm(int-c) |
 |
CHBr3 |
Gillotay(1989) |
295K |
170-310nm(2nm) |
 |
CHBr3 |
IUPAC(2008) |
210K |
190-340nm(rec) |
 |
CHBr3 |
IUPAC(2008) |
296K |
190-340nm(rec) |
 |
CHBr3 |
JPL-2010(2011) |
295-296K |
170-362nm(rec) |
 |
CHBr3 |
JPL-2015(2015) |
296K |
170-350nm(rec) |
 |
CHBr3 |
Moortgat(1993) |
210K |
289-343nm(int-c) |
 |
CHBr3 |
Moortgat(1993) |
210K |
290-340nm(calc) |
 |
CHBr3 |
Moortgat(1993) |
230K |
289-343nm(int-c) |
 |
CHBr3 |
Moortgat(1993) |
230K |
290-340nm(calc) |
 |
CHBr3 |
Moortgat(1993) |
250K |
289-343nm(int-c) |
 |
CHBr3 |
Moortgat(1993) |
250K |
290-340nm(calc) |
 |
CHBr3 |
Moortgat(1993) |
256K |
286-334nm(meas) |
 |
CHBr3 |
Moortgat(1993) |
266K |
286-338nm(meas) |
 |
CHBr3 |
Moortgat(1993) |
270K |
289-343nm(int-c) |
 |
CHBr3 |
Moortgat(1993) |
270K |
290-340nm(calc) |
 |
CHBr3 |
Moortgat(1993) |
276K |
286-342nm(meas) |
 |
CHBr3 |
Moortgat(1993) |
286K |
286-346nm(meas) |
 |
CHBr3 |
Moortgat(1993) |
290K |
289-343nm(int-c) |
 |
CHBr3 |
Moortgat(1993) |
295K |
290-340nm(calc) |
 |
CHBr3 |
Moortgat(1993) |
296K |
286-362nm(meas) |
 |
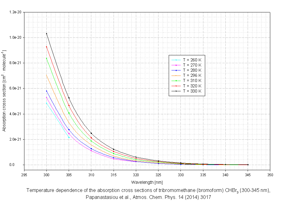
CHBr3 |
Papanastasiou(2014) |
260K |
300,305nm |
 |
CHBr3 |
Papanastasiou(2014) |
270K |
300-320nm |
 |
CHBr3 |
Papanastasiou(2014) |
280K |
300-340nm |
 |
CHBr3 |
Papanastasiou(2014) |
296K |
300-345nm |
 |
CHBr3 |
Papanastasiou(2014) |
310K |
300-345nm |
 |
CHBr3 |
Papanastasiou(2014) |
320K |
300-345nm |
 |
CHBr3 |
Papanastasiou(2014) |
330K |
300-345nm |
 |
CHBr3 |
SchneiderMeller(1988) |
294K |
246-362nm |
 |
CHBr3 |
VatsaVolpp(2001) |
300K |
121.567nm |
|
Search cross sections
|