When referring to the Spectral Atlas, please cite our publication:
Keller-Rudek, H., Moortgat, G. K., Sander, R., and Sörensen,
R.: The MPI-Mainz UV/VIS spectral atlas of gaseous molecules of
atmospheric interest, Earth Syst. Sci. Data, 5, 365–373, (2013),
DOI: 10.5194/essd-5-365-2013
|
Species:
| NAME: | dichloromethane |
| FORMULA: | CH2Cl2 |
|
CAS RN: | 75-09-2 |
STRUCTURE
(FROM
NIST):
|
|
|
InChIKey: | YMWUJEATGCHHMB-UHFFFAOYSA-N |
Graphical Representations:
Data Sets:
|
Formula |
Author(Year) |
T |
λ |
 |
CH2Cl2 |
Brownsword(1997) |
298K |
121.6nm |
 |
CH2Cl2 |
GordusBernstein(1954) |
303K |
213nm |
 |
CH2Cl2 |
HubrichStuhl(1980) |
298K |
160-255nm |
 |
CH2Cl2 |
JPL-2010(2011) |
298K |
176-256nm(rec) |
 |
CH2Cl2 |
Lacher(1950) |
298K |
214-229nm |
 |
CH2Cl2 |
Lange(2020) |
298K |
115-216nm |
 |
CH2Cl2 |
LeeSuto(1987) |
298K |
105-204nm |
 |
CH2Cl2 |
LeeSuto(1987) |
298K |
121.567nm |
 |
CH2Cl2 |
Orkin(1997) |
295K |
164-240nm |
 |
CH2Cl2 |
Russell(1973) |
298K |
112-195nm |
 |
CH2Cl2 |
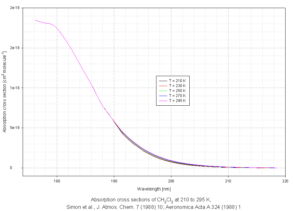
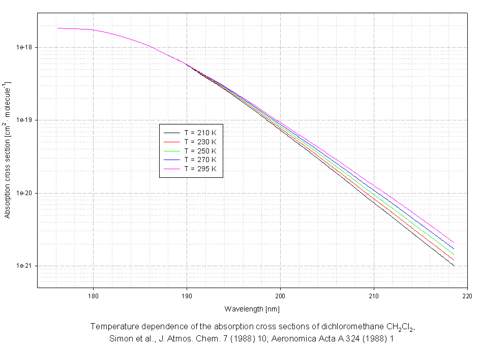
Simon(1988) |
210K |
175-220nm(int-c) |
 |
CH2Cl2 |
Simon(1988) |
210K |
176-220nm(2nm) |
 |
CH2Cl2 |
Simon(1988) |
230K |
175-220nm(int-c) |
 |
CH2Cl2 |
Simon(1988) |
230K |
176-220nm(2nm) |
 |
CH2Cl2 |
Simon(1988) |
250K |
175-220nm(int-c) |
 |
CH2Cl2 |
Simon(1988) |
250K |
176-220nm(2nm) |
 |
CH2Cl2 |
Simon(1988) |
270K |
175-220nm(int-c) |
 |
CH2Cl2 |
Simon(1988) |
270K |
176-220nm(2nm) |
 |
CH2Cl2 |
Simon(1988) |
295K |
175-220nm(int-c) |
 |
CH2Cl2 |
Simon(1988) |
295K |
176-220nm(2nm) |
 |
CH2Cl2 |
Tsubomura(1964) |
298K |
163-192nm |
 |
CH2Cl2 |
Tsubomura(1964) |
298K |
179.0nm(max) |
 |
CH2Cl2 |
Vanlaethem(1978) |
279K |
175-217nm(int-c) |
 |
CH2Cl2 |
Vanlaethem(1978) |
279K |
176-216nm(2nm) |
 |
CH2Cl2 |
Vanlaethem(1978) |
296K |
175-217nm(int-c) |
 |
CH2Cl2 |
Vanlaethem(1978) |
296K |
176-216nm(2nm) |
 |
CH2Cl2 |
VatsaVolpp(2001) |
300K |
121.567nm |
|
Search cross sections
|