When referring to the Spectral Atlas, please cite our publication:
Keller-Rudek, H., Moortgat, G. K., Sander, R., and Sörensen,
R.: The MPI-Mainz UV/VIS spectral atlas of gaseous molecules of
atmospheric interest, Earth Syst. Sci. Data, 5, 365–373, (2013),
DOI: 10.5194/essd-5-365-2013
|
Species:
| NAME: | chloromethane, methyl chloride |
| FORMULA: | CH3Cl |
|
CAS RN: | 74-87-3 |
STRUCTURE
(FROM
NIST):
|
|
|
InChIKey: | NEHMKBQYUWJMIP-UHFFFAOYSA-N |
Graphical Representations:
Data Sets:
|
Formula |
Author(Year) |
T |
λ |
 |
CH3Cl |
Brownsword(1997) |
298K |
121.6nm |
 |
CH3Cl |
Eden(2006) |
298K |
115-317nm |
 |
CH3Cl |
Felps(1991) |
294K |
171.2nm |
 |
CH3Cl |
GedankenRowe(1975) |
298K |
161.1-197.3nm |
 |
CH3Cl |
HerzbergScheibe(1930) |
298K |
174-190nm |
 |
CH3Cl |
Hubrich(1977) |
208K |
160-217nm |
 |
CH3Cl |
Hubrich(1977) |
298K |
158-235nm |
 |
CH3Cl |
IUPAC(2008) |
210K |
198-216nm(rec) |
 |
CH3Cl |
IUPAC(2008) |
295K |
174-216nm(rec) |
 |
CH3Cl |
JPL-2010(2011) |
298K |
174-236nm(rec) |
 |
CH3Cl |
JPL-97(1997) |
255K |
186-216nm(rec) |
 |
CH3Cl |
JPL-97(1997) |
279K |
186-216nm(rec) |
 |
CH3Cl |
JPL-97(1997) |
296K |
186-216nm(rec) |
 |
CH3Cl |
LeeSuto(1987) |
298K |
106-202nm |
 |
CH3Cl |
LeeSuto(1987) |
298K |
121.567nm |
 |
CH3Cl |
Locht(2001) |
298K |
103-207nm |
 |
CH3Cl |
Locht(2001) |
298K |
77.49-140.65nm |
 |
CH3Cl |
LucchesiniGozzini(2016) |
294K |
850.063-862.491nm |
 |
CH3Cl |
Olney(1996) |
298K |
15-207nm(e,e) |
 |
CH3Cl |
Olney(1996) |
298K |
3-25nm(e,e) |
 |
CH3Cl |
Raymonda(1974) |
298K |
107-141nm |
 |
CH3Cl |
Robbins(1976) |
298K |
174-220nm |
 |
CH3Cl |
Russell(1973) |
298K |
107-141nm |
 |
CH3Cl |
Russell(1973) |
298K |
111-188nm |
 |
CH3Cl |
SholdRebbert(1978) |
297K |
123.6,147.0nm |
 |
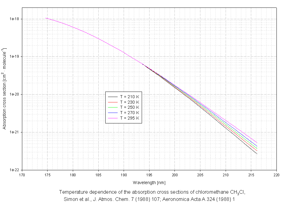
CH3Cl |
Simon(1988) |
210K |
173-217nm(int-c) |
 |
CH3Cl |
Simon(1988) |
210K |
174-216nm(2nm) |
 |
CH3Cl |
Simon(1988) |
230K |
173-217nm(int-c) |
 |
CH3Cl |
Simon(1988) |
230K |
174-216nm(2nm) |
 |
CH3Cl |
Simon(1988) |
250K |
173-217nm(int-c) |
 |
CH3Cl |
Simon(1988) |
250K |
174-216nm(2nm) |
 |
CH3Cl |
Simon(1988) |
270K |
173-217nm(int-c) |
 |
CH3Cl |
Simon(1988) |
270K |
174-216nm(2nm) |
 |
CH3Cl |
Simon(1988) |
295K |
173-217nm(int-c) |
 |
CH3Cl |
Simon(1988) |
295K |
174-216nm(2nm) |
 |
CH3Cl |
SPARC(2013) |
298K |
121.567nm(rec) |
 |
CH3Cl |
Truch(1979) |
298K |
107-141nm |
 |
CH3Cl |
Truch(1979) |
298K |
110.2-141.2nm |
 |
CH3Cl |
Tsubomura(1964) |
298K |
160-188nm |
 |
CH3Cl |
Tsubomura(1964) |
298K |
169.0nm(max) |
 |
CH3Cl |
Vanlaethem(1978) |
255K |
186-216nm(2nm) |
 |
CH3Cl |
Vanlaethem(1978) |
255K |
186-217nm(int-c) |
 |
CH3Cl |
Vanlaethem(1978) |
279K |
186-216nm(2nm) |
 |
CH3Cl |
Vanlaethem(1978) |
279K |
186-217nm(int-c) |
 |
CH3Cl |
Vanlaethem(1978) |
296K |
186-216nm(2nm) |
 |
CH3Cl |
Vanlaethem(1978) |
296K |
186-217nm(int-c) |
 |
CH3Cl |
VatsaVolpp(2001) |
300K |
121.567nm |
 |
CH3Cl |
Wu(1979) |
298K |
18-76nm |
|
Search cross sections
|