When referring to the Spectral Atlas, please cite our publication:
Keller-Rudek, H., Moortgat, G. K., Sander, R., and Sörensen,
R.: The MPI-Mainz UV/VIS spectral atlas of gaseous molecules of
atmospheric interest, Earth Syst. Sci. Data, 5, 365–373, (2013),
DOI: 10.5194/essd-5-365-2013
|
Species:
| NAME: | trichloromethane, chloroform |
| FORMULA: | CHCl3 |
|
CAS RN: | 67-66-3 |
STRUCTURE
(FROM
NIST):
|
|
|
InChIKey: | HEDRZPFGACZZDS-UHFFFAOYSA-N |
Graphical Representations:
Data Sets:
|
Formula |
Author(Year) |
T |
λ |
 |
CHCl3 |
Brownsword(1997) |
298K |
121.6nm |
 |
CHCl3 |
GordusBernstein(1954) |
303K |
227.7nm |
 |
CHCl3 |
HubrichStuhl(1980) |
298K |
160-255nm |
 |
CHCl3 |
JPL-2010(2011) |
298K |
180-256nm(rec) |
 |
CHCl3 |
Lacher(1950) |
298K |
226-247nm |
 |
CHCl3 |
LeeSuto(1987) |
298K |
105-221nm |
 |
CHCl3 |
LeeSuto(1987) |
298K |
121.567nm |
 |
CHCl3 |
LucazeauSandorfy(1970) |
298K |
114.9-181.5nm |
 |
CHCl3 |
Robbins(1976) |
295K |
174-226nm |
 |
CHCl3 |
Russell(1973) |
298K |
114-195nm |
 |
CHCl3 |
Seccombe(1999) |
298K |
50-150nm |
 |
CHCl3 |
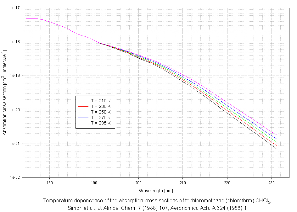
Simon(1988) |
210K |
173-233nm(int-c) |
 |
CHCl3 |
Simon(1988) |
210K |
174-240nm(2nm) |
 |
CHCl3 |
Simon(1988) |
230K |
173-233nm(int-c) |
 |
CHCl3 |
Simon(1988) |
230K |
174-240nm(2nm) |
 |
CHCl3 |
Simon(1988) |
250K |
173-233nm(int-c) |
 |
CHCl3 |
Simon(1988) |
250K |
174-240nm(2nm) |
 |
CHCl3 |
Simon(1988) |
270K |
173-233nm(int-c) |
 |
CHCl3 |
Simon(1988) |
270K |
174-240nm(2nm) |
 |
CHCl3 |
Simon(1988) |
295K |
173-233nm(int-c) |
 |
CHCl3 |
Simon(1988) |
295K |
174-240nm(2nm) |
 |
CHCl3 |
Tsubomura(1964) |
298K |
158-190nm |
 |
CHCl3 |
Tsubomura(1964) |
298K |
175.5nm(max) |
 |
CHCl3 |
Vanlaethem(1978) |
279K |
188-227nm(int-c) |
 |
CHCl3 |
Vanlaethem(1978) |
279K |
190-230nm(2nm) |
 |
CHCl3 |
Vanlaethem(1978) |
296K |
188-233nm(int-c) |
 |
CHCl3 |
Vanlaethem(1978) |
296K |
190-230nm(2nm) |
 |
CHCl3 |
VatsaVolpp(2001) |
300K |
121.567nm |
|
Search cross sections
|