When referring to the Spectral Atlas, please cite our publication:
Keller-Rudek, H., Moortgat, G. K., Sander, R., and Sörensen,
R.: The MPI-Mainz UV/VIS spectral atlas of gaseous molecules of
atmospheric interest, Earth Syst. Sci. Data, 5, 365–373, (2013),
DOI: 10.5194/essd-5-365-2013
|
Species:
| NAME: | 1,2-dichlorohexafluorocyclobutane |
| FORMULA: | 1,2-c-C4F6Cl2 |
|
CAS RN: | 356-18-3 |
STRUCTURE
(FROM
NIST):
|
|
Graphical Representations:
Data Sets:
|
Formula |
Author(Year) |
T |
λ |
 |
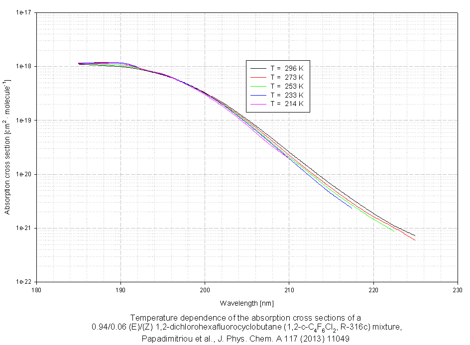
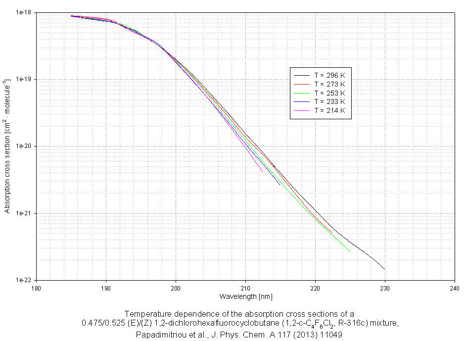
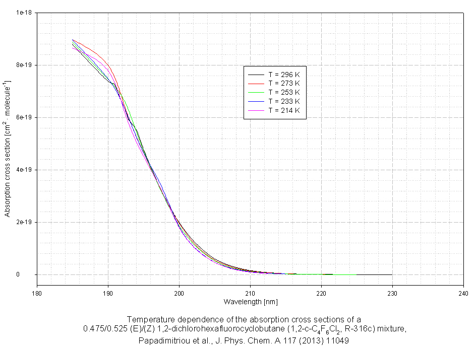
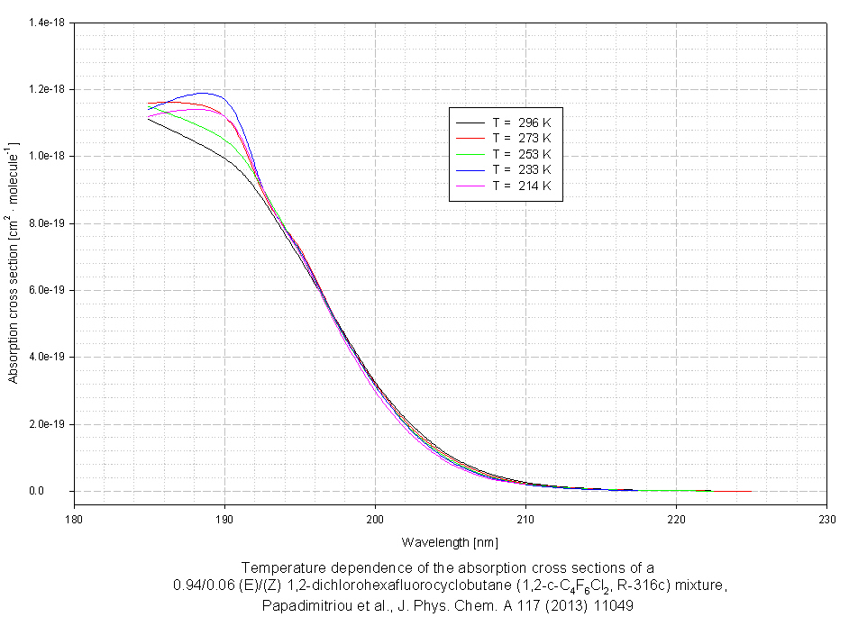
1,2-c-C4F6Cl2 |
Papadimitriou(2013) |
214K |
184.95-210nm(II) |
 |
1,2-c-C4F6Cl2 |
Papadimitriou(2013) |
214K |
184.95-212.5nm(I) |
 |
1,2-c-C4F6Cl2 |
Papadimitriou(2013) |
233K |
184.95-215nm(I) |
 |
1,2-c-C4F6Cl2 |
Papadimitriou(2013) |
233K |
184.95-217.5nm(II) |
 |
1,2-c-C4F6Cl2 |
Papadimitriou(2013) |
253K |
184.95-222.5nm(II) |
 |
1,2-c-C4F6Cl2 |
Papadimitriou(2013) |
253K |
184.95-225nm(I) |
 |
1,2-c-C4F6Cl2 |
Papadimitriou(2013) |
273K |
184.95-222.5nm(I) |
 |
1,2-c-C4F6Cl2 |
Papadimitriou(2013) |
273K |
184.95-225nm(II) |
 |
1,2-c-C4F6Cl2 |
Papadimitriou(2013) |
296K |
184.95-225nm(II) |
 |
1,2-c-C4F6Cl2 |
Papadimitriou(2013) |
296K |
184.95-230nm(I) |
|
Search cross sections
|