When referring to the Spectral Atlas, please cite our publication:
Keller-Rudek, H., Moortgat, G. K., Sander, R., and Sörensen,
R.: The MPI-Mainz UV/VIS spectral atlas of gaseous molecules of
atmospheric interest, Earth Syst. Sci. Data, 5, 365–373, (2013),
DOI: 10.5194/essd-5-365-2013
|
Species:
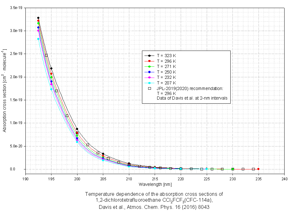
| NAME: | 1,2-dichlorotetrafluoroethane (CFC-114a) |
| FORMULA: | CCl2FCF3(CFC-114a) |
|
CAS RN: | 374-07-2 |
STRUCTURE
(FROM
NIST):
|
|
|
InChIKey: | BAMUEXIPKSRTBS-UHFFFAOYSA-N |
Graphical Representations:
Data Sets:
|
Formula |
Author(Year) |
T |
λ |
 |
CCl2FCF3(CFC-114a) |
Davis(2016) |
207K |
192.5-225nm |
 |
CCl2FCF3(CFC-114a) |
Davis(2016) |
232K |
192.5-225nm |
 |
CCl2FCF3(CFC-114a) |
Davis(2016) |
250K |
192.5-225nm |
 |
CCl2FCF3(CFC-114a) |
Davis(2016) |
271K |
192.5-230nm |
 |
CCl2FCF3(CFC-114a) |
Davis(2016) |
296K |
192.5-235nm |
 |
CCl2FCF3(CFC-114a) |
Davis(2016) |
323K |
192.5-225nm |
 |
CCl2FCF3(CFC-114a) |
JPL-2019(2020) |
296K |
194-234nm(rec) |
|
Search cross sections
|