When referring to the Spectral Atlas, please cite our publication:
Keller-Rudek, H., Moortgat, G. K., Sander, R., and Sörensen,
R.: The MPI-Mainz UV/VIS spectral atlas of gaseous molecules of
atmospheric interest, Earth Syst. Sci. Data, 5, 365–373, (2013),
DOI: 10.5194/essd-5-365-2013
|
Species:
| NAME: | 1,1,1,2-tetrachloro-2,2-difluoroethane (CFC-112a) |
| FORMULA: | CCl3CClF2(CFC-112a) |
|
CAS RN: | 76-11-9 |
STRUCTURE
(FROM
NIST):
|
|
Graphical Representations:
Data Sets:
|
Formula |
Author(Year) |
T |
λ |
 |
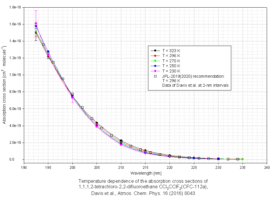
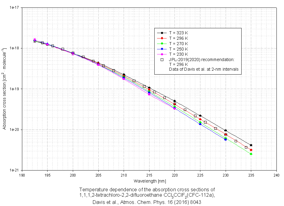
CCl3CClF2(CFC-112a) |
Davis(2016) |
230K |
192.5-220nm |
 |
CCl3CClF2(CFC-112a) |
Davis(2016) |
250K |
192.5-230nm |
 |
CCl3CClF2(CFC-112a) |
Davis(2016) |
270K |
192.5-235nm |
 |
CCl3CClF2(CFC-112a) |
Davis(2016) |
296K |
192.5-235nm |
 |
CCl3CClF2(CFC-112a) |
Davis(2016) |
323K |
192.5-235nm |
 |
CCl3CClF2(CFC-112a) |
JPL-2019(2020) |
296K |
194-234nm(rec) |
|
Search cross sections
|