When referring to the Spectral Atlas, please cite our publication:
Keller-Rudek, H., Moortgat, G. K., Sander, R., and Sörensen,
R.: The MPI-Mainz UV/VIS spectral atlas of gaseous molecules of
atmospheric interest, Earth Syst. Sci. Data, 5, 365–373, (2013),
DOI: 10.5194/essd-5-365-2013
|
Species:
| NAME: | difluorodichloromethane (CFC-12) |
| FORMULA: | CF2Cl2(CFC-12) |
|
CAS RN: | 75-71-8 |
STRUCTURE
(FROM
NIST):
|
|
|
InChIKey: | PXBRQCKWGAHEHS-UHFFFAOYSA-N |
Graphical Representations:
Data Sets:
|
Formula |
Author(Year) |
T |
λ |
 |
CF2Cl2(CFC-12) |
Au(1997) |
298K |
6.2-207nm(e,e) |
 |
CF2Cl2(CFC-12) |
BassLedford(1976) |
222K |
186-220nm |
 |
CF2Cl2(CFC-12) |
BassLedford(1976) |
223K |
185-220nm |
 |
CF2Cl2(CFC-12) |
BassLedford(1976) |
296K |
185-220nm |
 |
CF2Cl2(CFC-12) |
BassLedford(1976) |
298K |
186-220nm |
 |
CF2Cl2(CFC-12) |
Bastien(1985) |
298K |
124.85-200.51nm |
 |
CF2Cl2(CFC-12) |
Cantrell(1997) |
298K |
184.9nm |
 |
CF2Cl2(CFC-12) |
Chou(1977) |
212K |
193.2-213.9nm |
 |
CF2Cl2(CFC-12) |
Chou(1977) |
231K |
193.2-209.4nm |
 |
CF2Cl2(CFC-12) |
Chou(1977) |
236K |
207.3-218.6nm |
 |
CF2Cl2(CFC-12) |
Chou(1977) |
244K |
207.3-218.6nm |
 |
CF2Cl2(CFC-12) |
Chou(1977) |
252K |
193.2-213.9nm |
 |
CF2Cl2(CFC-12) |
Chou(1977) |
257K |
207.3-218.6nm |
 |
CF2Cl2(CFC-12) |
Chou(1977) |
296K |
185-221nm |
 |
CF2Cl2(CFC-12) |
ColeDexter(1978) |
298K |
6.5-10nm |
 |
CF2Cl2(CFC-12) |
Doucet(1973) |
298K |
117.2-142.5nm |
 |
CF2Cl2(CFC-12) |
Doucet(1973) |
298K |
137.1-199.5nm |
 |
CF2Cl2(CFC-12) |
Gilbert(1974) |
298K |
63.4-121.2nm |
 |
CF2Cl2(CFC-12) |
GordusBernstein(1954) |
303K |
210nm |
 |
CF2Cl2(CFC-12) |
GreenWayne(1976-1977) |
300K |
186-205nm |
 |
CF2Cl2(CFC-12) |
Hubrich(1977) |
208K |
166-205nm |
 |
CF2Cl2(CFC-12) |
Hubrich(1977) |
298K |
159-240nm |
 |
CF2Cl2(CFC-12) |
Huebner(1975) |
298K |
148-218nm |
 |
CF2Cl2(CFC-12) |
IUPAC(2008) |
210K |
188-226nm(rec) |
 |
CF2Cl2(CFC-12) |
IUPAC(2008) |
298K |
174-226nm(rec) |
 |
CF2Cl2(CFC-12) |
JPL-2010(2011) |
298K |
170-240nm(rec) |
 |
CF2Cl2(CFC-12) |
JPL-2015(2015) |
298K |
170-240nm(rec) |
 |
CF2Cl2(CFC-12) |
JPL-97(1997) |
298K |
170-240nm |
 |
CF2Cl2(CFC-12) |
Lacher(1950) |
298K |
208-225nm |
 |
CF2Cl2(CFC-12) |
Limao-Vieira(2002) |
298K |
113-225nm |
 |
CF2Cl2(CFC-12) |
Merienne(1990) |
220K |
200-231nm |
 |
CF2Cl2(CFC-12) |
Merienne(1990) |
240K |
200-231nm |
 |
CF2Cl2(CFC-12) |
Merienne(1990) |
296K |
200-231nm |
 |
CF2Cl2(CFC-12) |
RebbertAusloos(1971) |
298K |
74nm |
 |
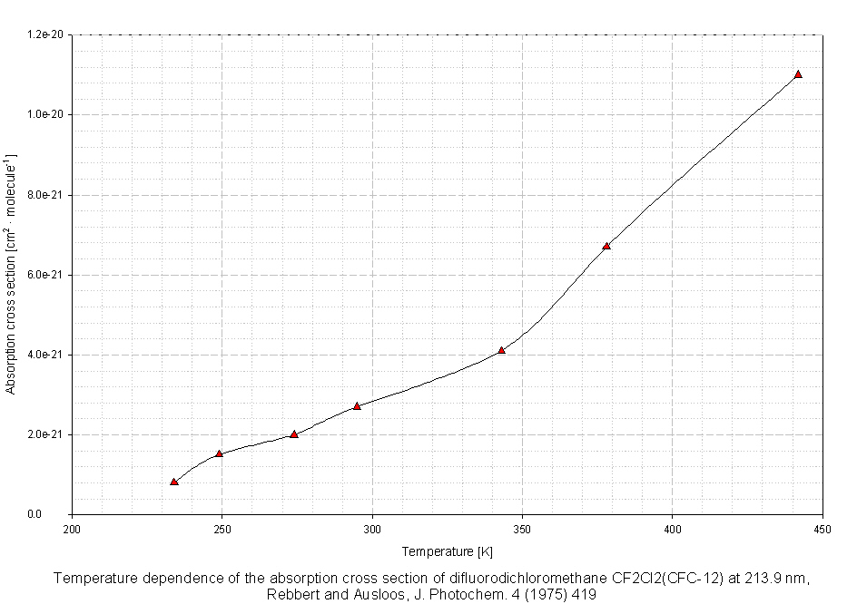
CF2Cl2(CFC-12) |
RebbertAusloos(1975) |
234-442K |
213.9nm |
 |
CF2Cl2(CFC-12) |
RobbinsStolarski(1976) |
298K |
174-216nm |
 |
CF2Cl2(CFC-12) |
RowlandMolina(1975) |
298K |
186-212nm(2nm) |
 |
CF2Cl2(CFC-12) |
RowlandMolina(1975) |
298K |
186-216nm |
 |
CF2Cl2(CFC-12) |
Seccombe(2001) |
298K |
50-91.8nm |
 |
CF2Cl2(CFC-12) |
Seccombe(2001) |
298K |
90-150nm |
 |
CF2Cl2(CFC-12) |
Simon(1988) |
210K |
173-227nm(int-c) |
 |
CF2Cl2(CFC-12) |
Simon(1988) |
210K |
174-226nm(2nm) |
 |
CF2Cl2(CFC-12) |
Simon(1988) |
230K |
173-227nm(int-c) |
 |
CF2Cl2(CFC-12) |
Simon(1988) |
230K |
174-226nm(2nm) |
 |
CF2Cl2(CFC-12) |
Simon(1988) |
250K |
173-227nm(int-c) |
 |
CF2Cl2(CFC-12) |
Simon(1988) |
250K |
174-226nm(2nm) |
 |
CF2Cl2(CFC-12) |
Simon(1988) |
270K |
173-227nm(int-c) |
 |
CF2Cl2(CFC-12) |
Simon(1988) |
270K |
174-226nm(2nm) |
 |
CF2Cl2(CFC-12) |
Simon(1988) |
295K |
173-227nm(int-c) |
 |
CF2Cl2(CFC-12) |
Simon(1988) |
295K |
174-226nm(2nm) |
 |
CF2Cl2(CFC-12) |
SPARC(2013) |
298K |
121.567nm(rec) |
 |
CF2Cl2(CFC-12) |
Vanlaethem(1978) |
255K |
188-217nm(int-c) |
 |
CF2Cl2(CFC-12) |
Vanlaethem(1978) |
255K |
190-216nm(2nm) |
 |
CF2Cl2(CFC-12) |
Vanlaethem(1978) |
279K |
188-217nm(int-c) |
 |
CF2Cl2(CFC-12) |
Vanlaethem(1978) |
279K |
190-216nm(2nm) |
 |
CF2Cl2(CFC-12) |
Vanlaethem(1978) |
296K |
188-217nm(int-c) |
 |
CF2Cl2(CFC-12) |
Vanlaethem(1978) |
296K |
190-216nm(2nm) |
 |
CF2Cl2(CFC-12) |
Wu(1979) |
298K |
18-76nm |
 |
CF2Cl2(CFC-12) |
Zhang(1991) |
298K |
6.2-146nm(e,e) |
|
Search cross sections
|