When referring to the Spectral Atlas, please cite our publication:
Keller-Rudek, H., Moortgat, G. K., Sander, R., and Sörensen,
R.: The MPI-Mainz UV/VIS spectral atlas of gaseous molecules of
atmospheric interest, Earth Syst. Sci. Data, 5, 365–373, (2013),
DOI: 10.5194/essd-5-365-2013
|
Species:
| NAME: | 1,1,2-trifluoro-1,2,2-trichloroethane (CFC-113) |
| FORMULA: | CF2ClCFCl2(CFC-113) |
|
CAS RN: | 76-13-1 |
STRUCTURE
(FROM
NIST):
|
|
|
InChIKey: | AJDIZQLSFPQPEY-UHFFFAOYSA-N |
Graphical Representations:
Data Sets:
|
Formula |
Author(Year) |
T |
λ |
 |
CF2ClCFCl2(CFC-113) |
Chou(1978) |
296K |
185-223nm |
 |
CF2ClCFCl2(CFC-113) |
Doucet(1975) |
298K |
113.4-198.2nm |
 |
CF2ClCFCl2(CFC-113) |
HubrichStuhl(1980) |
208K |
160-210nm |
 |
CF2ClCFCl2(CFC-113) |
HubrichStuhl(1980) |
298K |
160-250nm |
 |
CF2ClCFCl2(CFC-113) |
IUPAC(2008) |
210K |
196-230nm(rec) |
 |
CF2ClCFCl2(CFC-113) |
IUPAC(2008) |
295K |
184-230nm(rec) |
 |
CF2ClCFCl2(CFC-113) |
JPL-2010(2011) |
298K |
175-250nm(rec) |
 |
CF2ClCFCl2(CFC-113) |
JPL-97(1997) |
210K |
184-230nm(rec) |
 |
CF2ClCFCl2(CFC-113) |
JPL-97(1997) |
295K |
184-230nm(rec) |
 |
CF2ClCFCl2(CFC-113) |
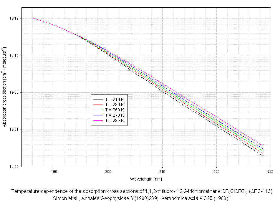
Simon(1988) |
210K |
184-230nm(2nm) |
 |
CF2ClCFCl2(CFC-113) |
Simon(1988) |
210K |
185-230nm(int-c) |
 |
CF2ClCFCl2(CFC-113) |
Simon(1988) |
230K |
184-230nm(2nm) |
 |
CF2ClCFCl2(CFC-113) |
Simon(1988) |
230K |
185-230nm(int-c) |
 |
CF2ClCFCl2(CFC-113) |
Simon(1988) |
250K |
184-230nm(2nm) |
 |
CF2ClCFCl2(CFC-113) |
Simon(1988) |
250K |
185-230nm(int-c) |
 |
CF2ClCFCl2(CFC-113) |
Simon(1988) |
270K |
184-230nm(2nm) |
 |
CF2ClCFCl2(CFC-113) |
Simon(1988) |
270K |
185-230nm(int-c) |
 |
CF2ClCFCl2(CFC-113) |
Simon(1988) |
295K |
184-230nm(2nm) |
 |
CF2ClCFCl2(CFC-113) |
Simon(1988) |
295K |
185-230nm(int-c) |
 |
CF2ClCFCl2(CFC-113) |
SPARC(2013) |
298K |
121.567nm(rec) |
|
Search cross sections
|