When referring to the Spectral Atlas, please cite our publication:
Keller-Rudek, H., Moortgat, G. K., Sander, R., and Sörensen,
R.: The MPI-Mainz UV/VIS spectral atlas of gaseous molecules of
atmospheric interest, Earth Syst. Sci. Data, 5, 365–373, (2013),
DOI: 10.5194/essd-5-365-2013
|
Species:
| NAME: | 1,1,1,2,2-pentafluoro-3,3-dichloropropane (HCFC-225ca) |
| FORMULA: | CF3CF2CHCl2(HCFC-225ca) |
|
CAS RN: | 422-56-0 |
STRUCTURE
(FROM
NIST):
|
|
|
InChIKey: | COAUHYBSXMIJDK-UHFFFAOYSA-N |
Graphical Representations:
Data Sets:
|
Formula |
Author(Year) |
T |
λ |
 |
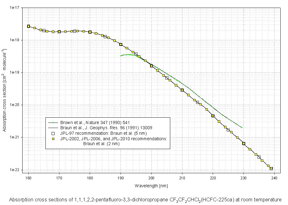
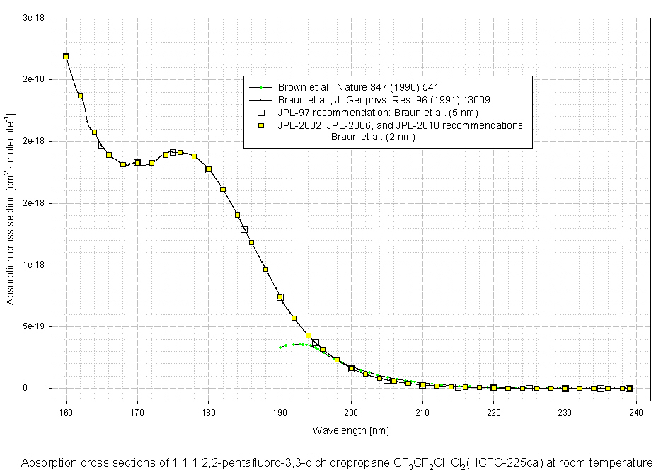
CF3CF2CHCl2(HCFC-225ca) |
Braun(1991) |
298K |
160-240nm |
 |
CF3CF2CHCl2(HCFC-225ca) |
Brown(1990) |
298K |
190.1-229.3nm |
 |
CF3CF2CHCl2(HCFC-225ca) |
IUPAC(2008) |
298K |
160-240nm(rec) |
 |
CF3CF2CHCl2(HCFC-225ca) |
JPL-2010(2011) |
298K |
160-239nm(rec) |
 |
CF3CF2CHCl2(HCFC-225ca) |
JPL-97(1997) |
298K |
160-240nm(rec) |
|
Search cross sections
|