When referring to the Spectral Atlas, please cite our publication:
Keller-Rudek, H., Moortgat, G. K., Sander, R., and Sörensen,
R.: The MPI-Mainz UV/VIS spectral atlas of gaseous molecules of
atmospheric interest, Earth Syst. Sci. Data, 5, 365–373, (2013),
DOI: 10.5194/essd-5-365-2013
|
Species:
| NAME: | 1,1,1-trifluoro-2-chloroethane (HCFC-133a) |
| FORMULA: | CF3CH2Cl(HCFC-133a) |
|
CAS RN: | 75-88-7 |
STRUCTURE
(FROM
NIST):
|
|
|
InChIKey: | CYXIKYKBLDZZNW-UHFFFAOYSA-N |
Graphical Representations:
Data Sets:
|
Formula |
Author(Year) |
T |
λ |
 |
CF3CH2Cl(HCFC-133a) |
GreenWayne(1976-1977) |
300K |
186.7-202.8nm(meas) |
 |
CF3CH2Cl(HCFC-133a) |
GreenWayne(1976-1977) |
300K |
186.9-205.7nm(smoo) |
 |
CF3CH2Cl(HCFC-133a) |
HubrichStuhl(1980) |
208K |
160-185nm |
 |
CF3CH2Cl(HCFC-133a) |
HubrichStuhl(1980) |
298K |
160-245nm |
 |
CF3CH2Cl(HCFC-133a) |
Ichimura(1977) |
296K |
147nm |
 |
CF3CH2Cl(HCFC-133a) |
JPL-2010(2011) |
298K |
160-245nm(rec) |
 |
CF3CH2Cl(HCFC-133a) |
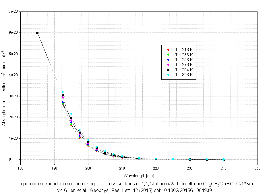
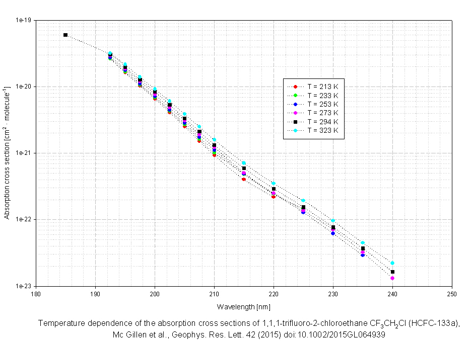
McGillen(2015) |
213K |
192.5-220.0nm |
 |
CF3CH2Cl(HCFC-133a) |
McGillen(2015) |
233K |
192.5-225.0nm |
 |
CF3CH2Cl(HCFC-133a) |
McGillen(2015) |
253K |
192.5-235.0nm |
 |
CF3CH2Cl(HCFC-133a) |
McGillen(2015) |
273K |
192.5-240.0nm |
 |
CF3CH2Cl(HCFC-133a) |
McGillen(2015) |
294K |
184.95-240.0nm |
 |
CF3CH2Cl(HCFC-133a) |
McGillen(2015) |
323K |
192.5-240.0nm |
|
Search cross sections
|