When referring to the Spectral Atlas, please cite our publication:
Keller-Rudek, H., Moortgat, G. K., Sander, R., and Sörensen,
R.: The MPI-Mainz UV/VIS spectral atlas of gaseous molecules of
atmospheric interest, Earth Syst. Sci. Data, 5, 365–373, (2013),
DOI: 10.5194/essd-5-365-2013
|
Species:
| NAME: | 1,2-difluoro-2,2-dichloroethane (HCFC-132c) |
| FORMULA: | CH2FCCl2F(HCFC-132c) |
|
CAS RN: | 1842-05-3 |
STRUCTURE
(FROM
NIST):
|
|
|
InChIKey: | OIQOUHIUUREZOM-UHFFFAOYSA-N |
Graphical Representations:
Data Sets:
|
Formula |
Author(Year) |
T |
λ |
 |
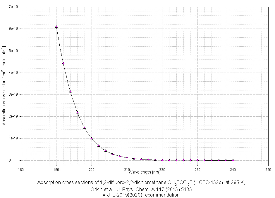
CH2FCCl2F(HCFC-132c) |
JPL-2019(2020) |
295K |
190-240nm(rec) |
 |
CH2FCCl2F(HCFC-132c) |
Orkin(2013) |
295K |
190-240nm |
|
Search cross sections
|