When referring to the Spectral Atlas, please cite our publication:
Keller-Rudek, H., Moortgat, G. K., Sander, R., and Sörensen,
R.: The MPI-Mainz UV/VIS spectral atlas of gaseous molecules of
atmospheric interest, Earth Syst. Sci. Data, 5, 365–373, (2013),
DOI: 10.5194/essd-5-365-2013
|
Species:
| NAME: | 1,2-difluoro-1,1,2-trichloroethane (HCFC-122a) |
| FORMULA: | CHClFCCl2F(HCFC-122a) |
|
CAS RN: | 354-15-4 |
STRUCTURE
(FROM
NIST):
|
|
|
InChIKey: | BQNSLJQRJAJITR-UHFFFAOYSA-N |
Graphical Representations:
Data Sets:
|
Formula |
Author(Year) |
T |
λ |
 |
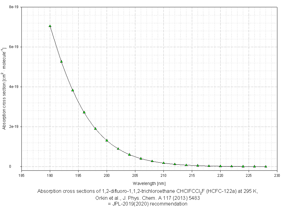
CHClFCCl2F(HCFC-122a) |
JPL-2019(2020) |
295K |
190-228nm(rec) |
 |
CHClFCCl2F(HCFC-122a) |
Orkin(2013) |
295K |
190-228nm |
|
Search cross sections
|