When referring to the Spectral Atlas, please cite our publication:
Keller-Rudek, H., Moortgat, G. K., Sander, R., and Sörensen,
R.: The MPI-Mainz UV/VIS spectral atlas of gaseous molecules of
atmospheric interest, Earth Syst. Sci. Data, 5, 365–373, (2013),
DOI: 10.5194/essd-5-365-2013
|
Species:
| NAME: | fluorodichloromethane (HCFC-21) |
| FORMULA: | CHFCl2(HCFC-21) |
|
CAS RN: | 75-43-4 |
STRUCTURE
(FROM
NIST):
|
|
|
InChIKey: | UMNKXPULIDJLSU-UHFFFAOYSA-N |
Graphical Representations:
Data Sets:
|
Formula |
Author(Year) |
T |
λ |
 |
CHFCl2(HCFC-21) |
Chou(1976) |
296K |
186-216nm |
 |
CHFCl2(HCFC-21) |
ColeDexter(1978) |
298K |
6.5-10nm |
 |
CHFCl2(HCFC-21) |
Doucet(1973) |
298K |
116.9-151.9nm |
 |
CHFCl2(HCFC-21) |
Doucet(1973) |
298K |
154.3-199.2nm |
 |
CHFCl2(HCFC-21) |
Gilbert(1974) |
298K |
60.2-122.7nm |
 |
CHFCl2(HCFC-21) |
GordusBernstein(1954) |
303K |
208nm |
 |
CHFCl2(HCFC-21) |
GreenWayne(1976-1977) |
300K |
184.5-205.5nm(smoo) |
 |
CHFCl2(HCFC-21) |
GreenWayne(1976-1977) |
300K |
185-205nm(meas) |
 |
CHFCl2(HCFC-21) |
Hubrich(1977) |
208K |
160-210nm |
 |
CHFCl2(HCFC-21) |
Hubrich(1977) |
298K |
158-235nm |
 |
CHFCl2(HCFC-21) |
JPL-2010(2011) |
298K |
174-236nm(rec) |
 |
CHFCl2(HCFC-21) |
Lacher(1950) |
298K |
211-225nm |
 |
CHFCl2(HCFC-21) |
Rebbert(1978) |
300K |
147,214nm |
 |
CHFCl2(HCFC-21) |
RobbinsStolarski(1976) |
295K |
174-222nm |
 |
CHFCl2(HCFC-21) |
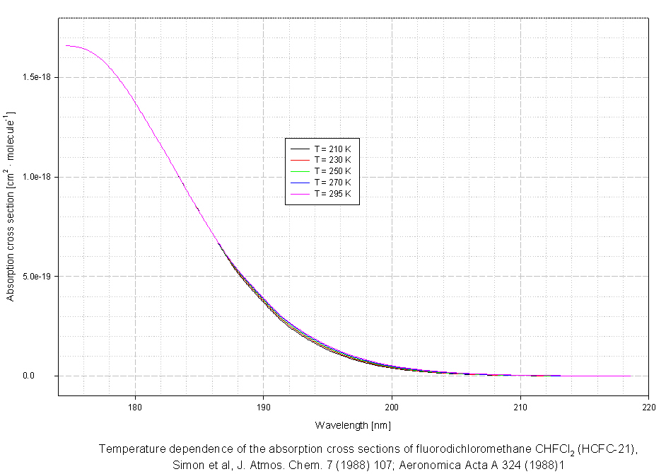
Simon(1988) |
210K |
173-220nm(int-c) |
 |
CHFCl2(HCFC-21) |
Simon(1988) |
210K |
174-222nm(2nm) |
 |
CHFCl2(HCFC-21) |
Simon(1988) |
230K |
173-220nm(int-c) |
 |
CHFCl2(HCFC-21) |
Simon(1988) |
230K |
174-222nm(2nm) |
 |
CHFCl2(HCFC-21) |
Simon(1988) |
250K |
173-220nm(int-c) |
 |
CHFCl2(HCFC-21) |
Simon(1988) |
250K |
174-222nm(2nm) |
 |
CHFCl2(HCFC-21) |
Simon(1988) |
270K |
173-220nm(int-c) |
 |
CHFCl2(HCFC-21) |
Simon(1988) |
270K |
174-222nm(2nm) |
 |
CHFCl2(HCFC-21) |
Simon(1988) |
295K |
173-220nm(int-c) |
 |
CHFCl2(HCFC-21) |
Simon(1988) |
295K |
174-222nm(2nm) |
|
Search cross sections
|