When referring to the Spectral Atlas, please cite our publication:
Keller-Rudek, H., Moortgat, G. K., Sander, R., and Sörensen,
R.: The MPI-Mainz UV/VIS spectral atlas of gaseous molecules of
atmospheric interest, Earth Syst. Sci. Data, 5, 365–373, (2013),
DOI: 10.5194/essd-5-365-2013
|
Species:
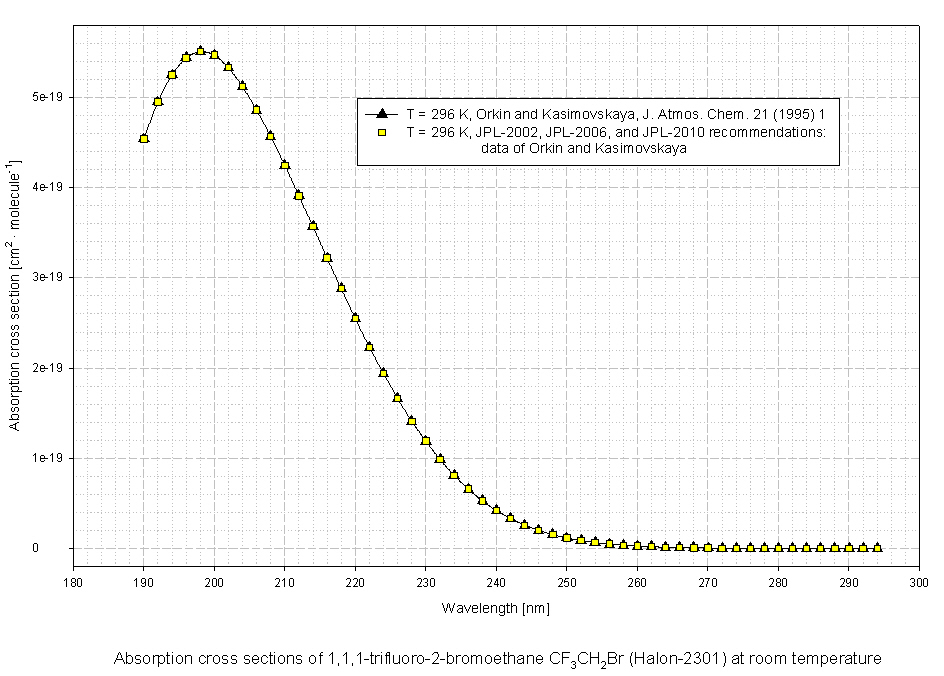
| NAME: | 1,1,1-trifluoro-2-bromoethane (Halon-2301) |
| FORMULA: | CF3CH2Br(Halon-2301) |
|
CAS RN: | 421-06-7 |
STRUCTURE
(FROM
NIST):
|
|
|
InChIKey: | TZNJHEHAYZJBHR-UHFFFAOYSA-N |
Graphical Representations:
Data Sets:
|
Formula |
Author(Year) |
T |
λ |
 |
CF3CH2Br(Halon-2301) |
JPL-2010(2011) |
296K |
190-294nm(rec) |
 |
CF3CH2Br(Halon-2301) |
OrkinKasimovskaya(1995) |
295K |
190-294nm |
|
Search cross sections
|