When referring to the Spectral Atlas, please cite our publication:
Keller-Rudek, H., Moortgat, G. K., Sander, R., and Sörensen,
R.: The MPI-Mainz UV/VIS spectral atlas of gaseous molecules of
atmospheric interest, Earth Syst. Sci. Data, 5, 365–373, (2013),
DOI: 10.5194/essd-5-365-2013
|
Species:
| NAME: | 1,1,1,2-tetrafluoro-2-bromoethane (Halon-2401) |
| FORMULA: | CF3CHFBr(Halon-2401) |
|
CAS RN: | 124-72-1 |
STRUCTURE
(FROM
NIST):
|
|
|
InChIKey: | RZXZIZDRFQFCTA-UHFFFAOYSA-N |
Graphical Representations:
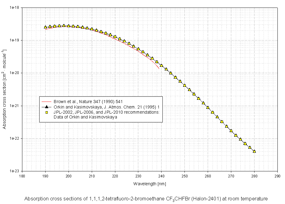
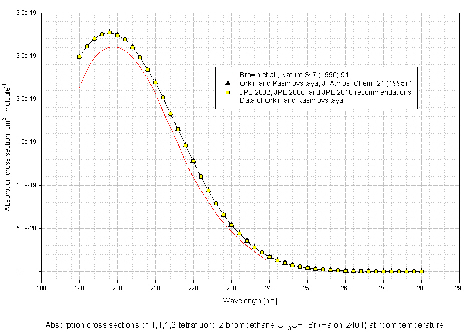
Data Sets:
|
Formula |
Author(Year) |
T |
λ |
 |
CF3CHFBr(Halon-2401) |
Brown(1990) |
298K |
190.3-239.5nm |
 |
CF3CHFBr(Halon-2401) |
JPL-2010(2011) |
295K |
190-280nm(rec) |
 |
CF3CHFBr(Halon-2401) |
OrkinKasimovskaya(1995) |
295K |
190-280nm |
|
Search cross sections
|