When referring to the Spectral Atlas, please cite our publication:
Keller-Rudek, H., Moortgat, G. K., Sander, R., and Sörensen,
R.: The MPI-Mainz UV/VIS spectral atlas of gaseous molecules of
atmospheric interest, Earth Syst. Sci. Data, 5, 365–373, (2013),
DOI: 10.5194/essd-5-365-2013
|
Species:
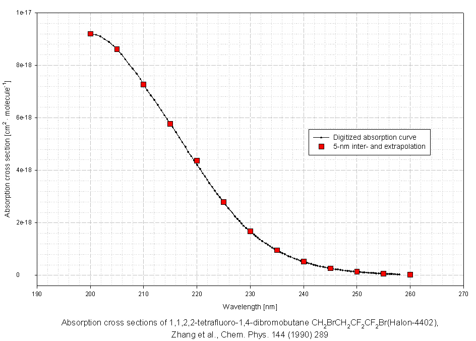
| NAME: | 1,1,2,2-tetrafluoro-1,4-dibromobutane (Halon-4402) |
| FORMULA: | CH2BrCH2CF2CF2Br(Halon-4402) |
|
CAS RN: | 18599-20-7 |
STRUCTURE
(FROM
NIST):
|
|
|
InChIKey: | ASHCDEYFCNWSTR-UHFFFAOYSA-N |
Graphical Representations:
Data Sets:
|
Formula |
Author(Year) |
T |
λ |
 |
CH2BrCH2CF2CF2Br(Halon-4402) |
Zhang(1990) |
295K |
200-258nm |
 |
CH2BrCH2CF2CF2Br(Halon-4402) |
Zhang(1990) |
295K |
200-260nm(5nm) |
|
Search cross sections
|