When referring to the Spectral Atlas, please cite our publication:
Keller-Rudek, H., Moortgat, G. K., Sander, R., and Sörensen,
R.: The MPI-Mainz UV/VIS spectral atlas of gaseous molecules of
atmospheric interest, Earth Syst. Sci. Data, 5, 365–373, (2013),
DOI: 10.5194/essd-5-365-2013
|
Species:
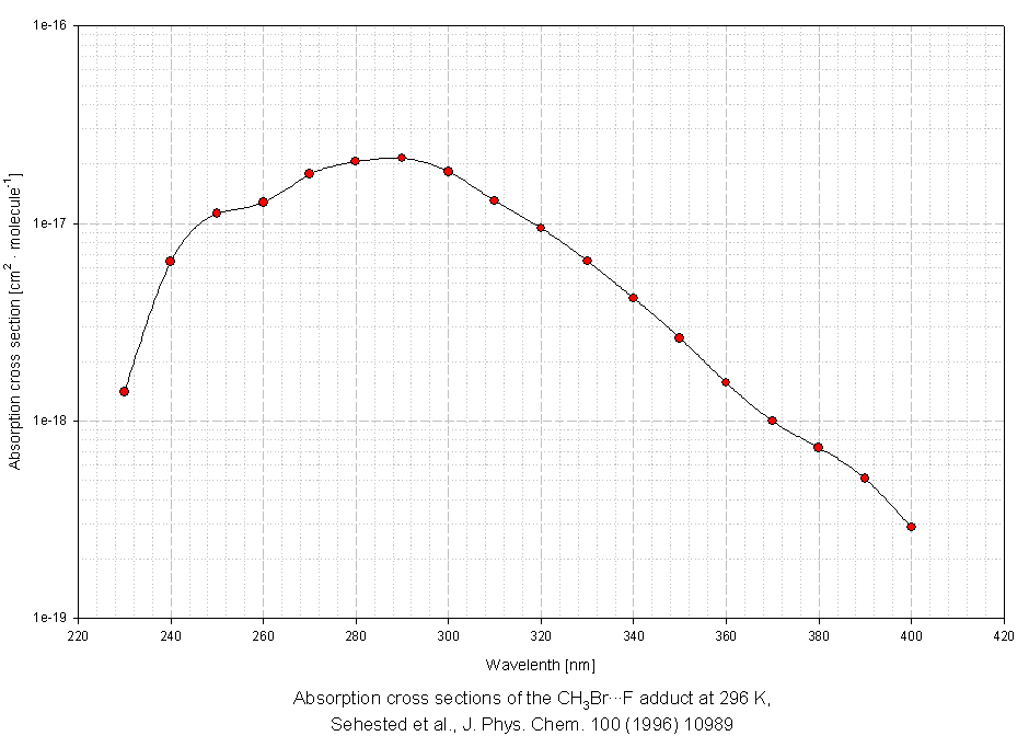
| NAME: | bromomethane-fluorine adduct |
| FORMULA: | CH3Br...F |
Graphical Representations:
Data Sets:
|
Formula |
Author(Year) |
T |
λ |
 |
CH3Br...F |
Sehested(1996) |
295K |
230-400nm |
|
Search cross sections
|