When referring to the Spectral Atlas, please cite our publication:
Keller-Rudek, H., Moortgat, G. K., Sander, R., and Sörensen,
R.: The MPI-Mainz UV/VIS spectral atlas of gaseous molecules of
atmospheric interest, Earth Syst. Sci. Data, 5, 365–373, (2013),
DOI: 10.5194/essd-5-365-2013
|
Species:
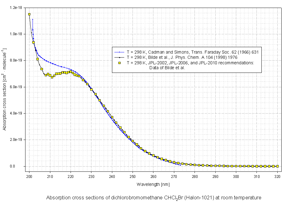
| NAME: | dichlorobromomethane (Halon-1021) |
| FORMULA: | CHCl2Br(Halon-1021) |
|
CAS RN: | 75-27-4 |
STRUCTURE
(FROM
NIST):
|
|
|
InChIKey: | FMWLUWPQPKEARP-UHFFFAOYSA-N |
Graphical Representations:
Data Sets:
|
Formula |
Author(Year) |
T |
λ |
 |
CHCl2Br(Halon-1021) |
Bilde(1998) |
253K |
200-320nm |
 |
CHCl2Br(Halon-1021) |
Bilde(1998) |
273K |
200-320nm |
 |
CHCl2Br(Halon-1021) |
Bilde(1998) |
298K |
200-320nm |
 |
CHCl2Br(Halon-1021) |
CadmanSimons(1966) |
298K |
201.6-273.0nm |
 |
CHCl2Br(Halon-1021) |
Ibuki(1992) |
298K |
105.5-202.6nm |
 |
CHCl2Br(Halon-1021) |
JPL-2010(2011) |
298K |
200-320nm(rec) |
|
Search cross sections
|