When referring to the Spectral Atlas, please cite our publication:
Keller-Rudek, H., Moortgat, G. K., Sander, R., and Sörensen,
R.: The MPI-Mainz UV/VIS spectral atlas of gaseous molecules of
atmospheric interest, Earth Syst. Sci. Data, 5, 365–373, (2013),
DOI: 10.5194/essd-5-365-2013
|
Species:
| NAME: | nitric oxide |
| FORMULA: | NO |
|
CAS RN: | 10102-43-9 |
STRUCTURE
(FROM
NIST):
|
|
|
InChIKey: | MWUXSHHQAYIFBG-UHFFFAOYSA-N |
Graphical Representations:
Data Sets:
|
Formula |
Author(Year) |
T |
λ |
 |
NO |
Barnes(2025) |
1000-8000K |
246.3222nm(theor) |
 |
NO |
Barnes(2025) |
2454-7381K |
246.3222nm(meas) |
 |
NO |
Barnes(2025) |
4590K |
246.318-246.326nm(theor) |
 |
NO |
Barnes(2025) |
4590K |
246.3202-246.3246nm(meas) |
 |
NO |
Barnes(2025) |
5000K |
226.0526-226.1523nm |
 |
NO |
Barnes(2025) |
5000K |
246.2722-246.3719nm |
 |
NO |
Bennett(1971) |
295K |
58.4nm |
 |
NO |
Bertrand(1975) |
298K |
123.6nm |
 |
NO |
BrionTan(1981) |
298K |
20.7-68.9nm(e,e) |
 |
NO |
Chan(1993) |
298K |
41.32-228.55nm(e,e) |
 |
NO |
Chung(2006) |
298K |
90-134nm |
 |
NO |
ColeDexter(1978) |
298K |
5-34nm |
 |
NO |
Gardner(1973) |
298K |
38-67nm(fit) |
 |
NO |
Gardner(1973) |
298K |
38-67nm(meas) |
 |
NO |
GuestLee(1981) |
293K |
106.4-135.1nm |
 |
NO |
GuestLee(1981) |
293K |
135.0-151.0nm |
 |
NO |
GuestLee(1981) |
293K |
151.0-171.8nm |
 |
NO |
GuestLee(1981) |
293K |
172.3-196.3nm |
 |
NO |
Iida(1986) |
298K |
6.5-207nm(e,e) |
 |
NO |
Krish(2022) |
2055-5626K |
224.8150nm(meas) |
 |
NO |
Krish(2022) |
2055-5626K |
224.8150nm(theor) |
 |
NO |
Krish(2022) |
2180K |
226.1010-226.1040nm(theor) |
 |
NO |
Krish(2022) |
2180K |
226.1013-226.1035nm(meas) |
 |
NO |
Krish(2022) |
2183-5868K |
224.8155nm(meas) |
 |
NO |
Krish(2022) |
2183-5868K |
224.8155nm(theor) |
 |
NO |
Krish(2022) |
2281-5980K |
226.1026nm(meas) |
 |
NO |
Krish(2022) |
2281-5980K |
226.1026nm(theor) |
 |
NO |
Lee(1973) |
298K |
17.7-64.0nm |
 |
NO |
Metzger(1967) |
295K |
60-95nm |
 |
NO |
ReilhacDamany(1977) |
298K |
10.0-50.0nm |
 |
NO |
StarrLoewenstein(1972) |
298K |
58.43nm |
 |
NO |
SunWeissler(1955) |
295K |
37-131nm |
 |
NO |
Thompson(1963) |
298K |
186-227nm |
 |
NO |
Wang(2024) |
293K |
197.00-235.06nm |
 |
NO |
Watanabe(1954) |
298K |
128.8-134.6nm |
 |
NO |
Watanabe(1967) |
298K |
110-135nm |
 |
NO |
Watanabe(1967) |
298K |
58-110nm |
 |
NO |
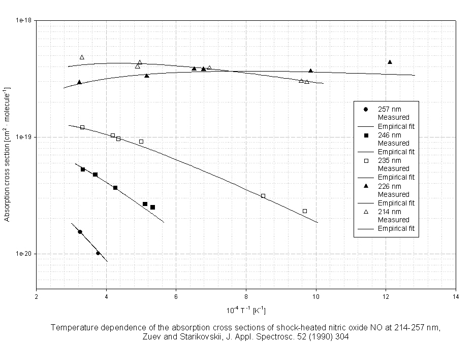
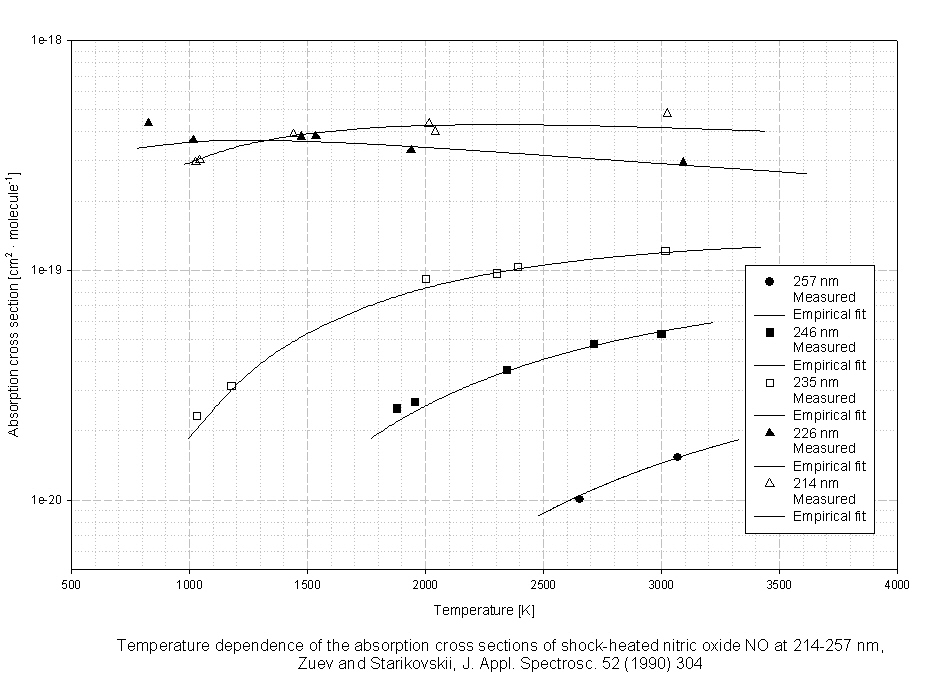
ZuevStarikovskii(1990) |
1027-3026K |
214nm(meas) |
 |
NO |
ZuevStarikovskii(1990) |
1033-3017K |
235nm(meas) |
 |
NO |
ZuevStarikovskii(1990) |
1770-3220K |
246nm(fit) |
 |
NO |
ZuevStarikovskii(1990) |
1878-3000K |
246nm(meas) |
 |
NO |
ZuevStarikovskii(1990) |
2480-3330K |
257nm(fit) |
 |
NO |
ZuevStarikovskii(1990) |
2654,3070K |
257nm(meas) |
 |
NO |
ZuevStarikovskii(1990) |
780-3620K |
226nm(fit) |
 |
NO |
ZuevStarikovskii(1990) |
826-3093K |
226nm(meas) |
 |
NO |
ZuevStarikovskii(1990) |
980-3440K |
214nm(fit) |
 |
NO |
ZuevStarikovskii(1990) |
995-3425K |
235nm(fit) |
|
Search cross sections
|