When referring to the Spectral Atlas, please cite our publication:
Keller-Rudek, H., Moortgat, G. K., Sander, R., and Sörensen,
R.: The MPI-Mainz UV/VIS spectral atlas of gaseous molecules of
atmospheric interest, Earth Syst. Sci. Data, 5, 365–373, (2013),
DOI: 10.5194/essd-5-365-2013
|
Species:
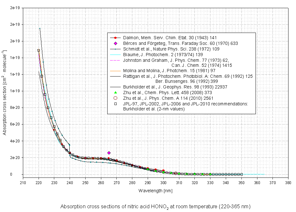
| NAME: | nitric acid |
| FORMULA: | HONO2 |
|
CAS RN: | 7697-37-2 |
STRUCTURE
(FROM
NIST):
|
|
|
InChIKey: | GRYLNZFGIOXLOG-UHFFFAOYSA-N |
Graphical Representations:
Data Sets:
|
Formula |
Author(Year) |
T |
λ |
 |
HONO2 |
Beddard(1974-1975) |
298K |
119.5-170.5nm |
 |
HONO2 |
BercesForgeteg(1970) |
298K |
265nm |
 |
HONO2 |
Biaume(1973-1974) |
298K |
185-347.5nm(int-c) |
 |
HONO2 |
Biaume(1973-1974) |
298K |
185-365nm |
 |
HONO2 |
Brown(1999) |
298K |
213.86nm |
 |
HONO2 |
Burkholder(1993) |
240K |
196-350nm |
 |
HONO2 |
Burkholder(1993) |
260K |
196-350nm |
 |
HONO2 |
Burkholder(1993) |
280K |
196-350nm |
 |
HONO2 |
Burkholder(1993) |
298K |
186-350nm(rec) |
 |
HONO2 |
Burkholder(1993) |
315K |
196-350nm |
 |
HONO2 |
Burkholder(1993) |
337K |
196-350nm |
 |
HONO2 |
Burkholder(1993) |
360K |
196-350nm |
 |
HONO2 |
ConnellHoward(1985) |
298K |
184.9nm |
 |
HONO2 |
Dalmon(1943) |
273K |
230-280nm |
 |
HONO2 |
Dalmon(1943) |
298K |
230-300nm |
 |
HONO2 |
Dulitz(2018) |
300K |
184.95,213.86nm |
 |
HONO2 |
Harwood(1992) |
239K |
220-330nm |
 |
HONO2 |
Harwood(1992) |
293K |
220-335nm |
 |
HONO2 |
IUPAC(2004) |
298K |
190-350nm(rec) |
 |
HONO2 |
Johnston(1974) |
298K |
195.5-309.1nm |
 |
HONO2 |
JohnstonGraham(1973) |
298K |
190-325nm |
 |
HONO2 |
JohnstonGraham(1974) |
298K |
190-325nm |
 |
HONO2 |
JPL-2002(2002) |
298K |
190-350nm(rec) |
 |
HONO2 |
JPL-2010(2011) |
298K |
192-350nm(rec) |
 |
HONO2 |
MolinaMolina(1981) |
298K |
190-330nm |
 |
HONO2 |
Okabe(1980) |
298K |
109-189nm |
 |
HONO2 |
Rattigan(1992) |
239K |
220-330nm |
 |
HONO2 |
Rattigan(1992) |
293K |
220-335nm |
 |
HONO2 |
Rattigan(1992) |
298K |
190-330nm(rec) |
 |
HONO2 |
Schmidt(1972) |
295K |
167-295nm |
 |
HONO2 |
Schmidt(1972) |
295K |
320-440nm |
 |
HONO2 |
SutoLee(1984) |
298K |
105-225nm |
 |
HONO2 |
Wine(1981) |
298K |
184.9nm |
 |
HONO2 |
Zhang(2000) |
297K |
978-990nm |
 |
HONO2 |
Zhu(2008) |
295K |
290-330nm |
 |
HONO2 |
Zhu(2008) |
295K |
290-330nm(adsorbed) |
 |
HONO2 |
Zhu(2010) |
253K |
308nm |
 |
HONO2 |
Zhu(2010) |
253K |
308nm(Al surface) |
 |
HONO2 |
Zhu(2010) |
253K |
308nm(ice film) |
 |
HONO2 |
Zhu(2010) |
295K |
308nm |
 |
HONO2 |
Zhu(2010) |
295K |
308nm(Al surface) |
|
Search cross sections
|