When referring to the Spectral Atlas, please cite our publication:
Keller-Rudek, H., Moortgat, G. K., Sander, R., and Sörensen,
R.: The MPI-Mainz UV/VIS spectral atlas of gaseous molecules of
atmospheric interest, Earth Syst. Sci. Data, 5, 365–373, (2013),
DOI: 10.5194/essd-5-365-2013
|
Species:
| NAME: | hydrazine |
| FORMULA: | N2H4 |
|
CAS RN: | 302-01-2 |
STRUCTURE
(FROM
NIST):
|
|
|
InChIKey: | OAKJQQAXSVQMHS-UHFFFAOYSA-N |
Graphical Representations:
Data Sets:
|
Formula |
Author(Year) |
T |
λ |
 |
N2H4 |
BeckerWelge(1964) |
298K |
116.5-147.0nm |
 |
N2H4 |
BiehlStuhl(1991) |
298K |
105-240nm |
 |
N2H4 |
BiehlStuhl(1991) |
298K |
110-199nm |
 |
N2H4 |
Lang(1994) |
298K |
115-185nm |
 |
N2H4 |
SchurgersWelge(1968) |
298K |
121.14-198.96nm |
 |
N2H4 |
Syage(1992) |
298K |
122-235nm |
 |
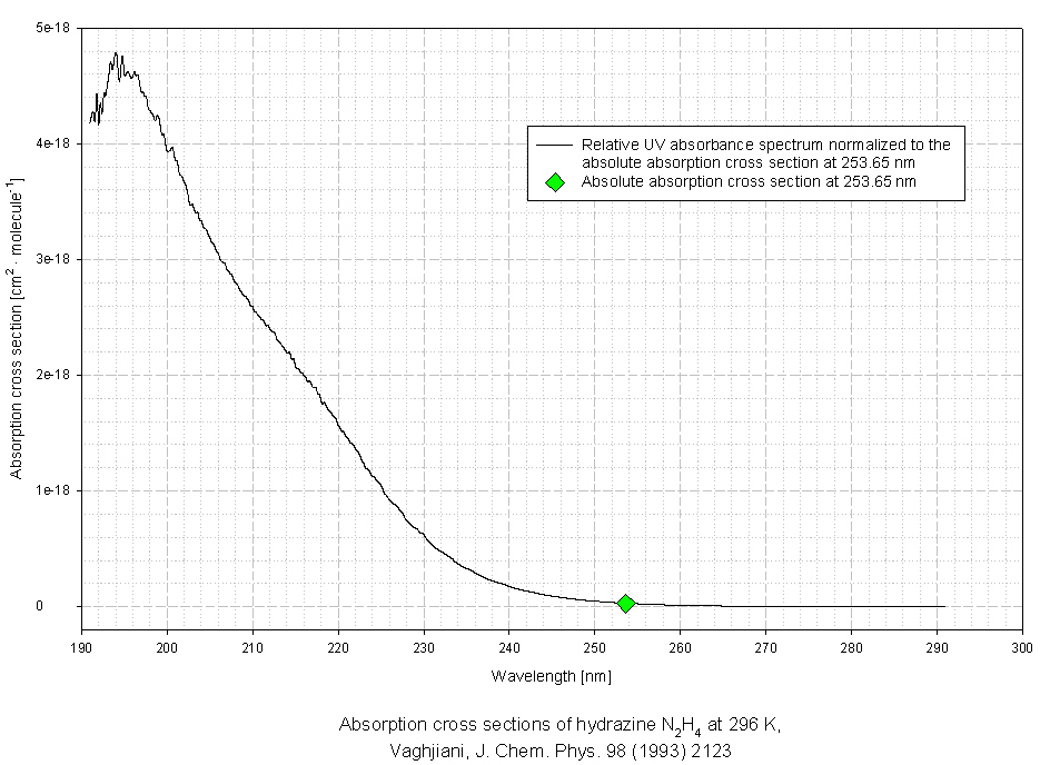
N2H4 |
Vaghjiani(1993) |
296K |
191-291nm |
 |
N2H4 |
Vaghjiani(1993) |
296K |
253.65nm |
 |
N2H4 |
Vaghjiani(1997) |
298K |
121.6-174.4nm |
 |
N2H4 |
Vaghjiani(1997) |
298K |
140.4-219.6nm |
|
Search cross sections
|