When referring to the Spectral Atlas, please cite our publication:
Keller-Rudek, H., Moortgat, G. K., Sander, R., and Sörensen,
R.: The MPI-Mainz UV/VIS spectral atlas of gaseous molecules of
atmospheric interest, Earth Syst. Sci. Data, 5, 365–373, (2013),
DOI: 10.5194/essd-5-365-2013
|
Species:
| NAME: | oxygen |
| FORMULA: | O2 |
|
CAS RN: | 7782-44-7 |
STRUCTURE
(FROM
NIST):
|
|
|
InChIKey: | MYMOFIZGZYHOMD-UHFFFAOYSA-N |
Graphical Representations:
Data Sets:
|
Formula |
Author(Year) |
T |
λ |
 |
O2 |
Aboud(1955) |
295K |
11.20-86.63nm |
 |
O2 |
Ackerman(1969) |
300K |
176-191nm(I) |
 |
O2 |
Ackerman(1969) |
300K |
176-191nm(II) |
 |
O2 |
Ackerman(1970) |
300K |
176-201nm |
 |
O2 |
Ackerman(1971) |
298K |
116.3-243.9nm(int-c) |
 |
O2 |
Ackerman(1971) |
298K |
121.567nm |
 |
O2 |
Ahmed(1996) |
295K |
130nm |
 |
O2 |
Ahmed(1996) |
373K |
130nm |
 |
O2 |
Ahmed(1996) |
473K |
130nm |
 |
O2 |
Ahmed(1996) |
573K |
130nm |
 |
O2 |
Amoruso(1996) |
280K |
208-240nm(p dependence) |
 |
O2 |
AndersonHall(1986) |
298K |
199.5-215.5nm |
 |
O2 |
Barrus(1979) |
298K |
2.066-2.450nm |
 |
O2 |
Bennett(1971) |
295K |
58.4nm |
 |
O2 |
Bertrand(1975) |
298K |
123.6,147.0nm |
 |
O2 |
Black(1985) |
930K |
115.1-129.9nm |
 |
O2 |
Blake(1966) |
298K |
130-167nm |
 |
O2 |
Bogumil(2003) |
203K |
235-330nm |
 |
O2 |
Bogumil(2003) |
203K |
650-787nm |
 |
O2 |
Bogumil(2003) |
243K |
234-440nm |
 |
O2 |
Bogumil(2003) |
243K |
650-799.6nm |
 |
O2 |
Bogumil(2003) |
293K |
235-389nm |
 |
O2 |
Bogumil(2003) |
293K |
650-799.6nm |
 |
O2 |
Brion(1979) |
298K |
4.1-248nm(e,e) |
 |
O2 |
Brolley(1973) |
298K |
58.4nm |
 |
O2 |
Bykova(2008) |
1706.6-2483.4K |
210nm(T dependence) |
 |
O2 |
Carver(1977) |
195K |
120.40-120.86nm |
 |
O2 |
Carver(1977) |
294K |
120.40-120.86nm |
 |
O2 |
Carver(1977) |
82K |
120.40-120.86nm |
 |
O2 |
Chan(1993) |
298K |
41.63-190.69nm(e,e) |
 |
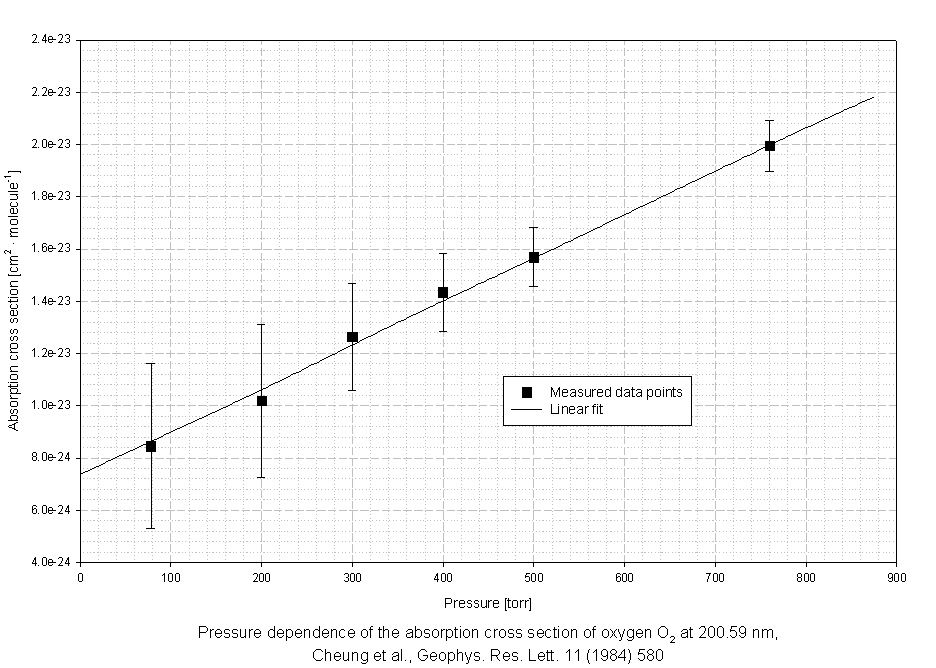
O2 |
Cheung(1984) |
300K |
200.59nm(P dependence,fit) |
 |
O2 |
Cheung(1984) |
300K |
200.59nm(P dependence,meas) |
 |
O2 |
Cheung(1986) |
296-300K |
193.58-241.0nm(P dependence) |
 |
O2 |
Cheung(1986) |
296-300K |
195-241nm |
 |
O2 |
Clark(1952) |
295K |
58-103nm |
 |
O2 |
ColeDexter(1978) |
298K |
5-34nm |
 |
O2 |
Cook(1964) |
295K |
83-103nm |
 |
O2 |
CookMetzger(1964) |
295K |
60-103nm |
 |
O2 |
Coquart(1990) |
219K |
196-205nm(I) |
 |
O2 |
Coquart(1990) |
219K |
196-205nm(II) |
 |
O2 |
Davidson(1989) |
1000-3000K |
193nm(fit) |
 |
O2 |
Davidson(1989) |
960-3155K |
193nm(meas) |
 |
O2 |
DitchburnYoung(1962) |
298K |
185-200nm |
 |
O2 |
DitchburnYoung(1962) |
298K |
200-250nm |
 |
O2 |
Dose(1975) |
291K |
120.550-122.450nm(fits) |
 |
O2 |
Dose(1975) |
291K |
120.55-122.00nm(meas) |
 |
O2 |
Dose(1975) |
291K |
121.27-122.53nm(meas) |
 |
O2 |
Dose(1975) |
291K |
121.570,121.573nm |
 |
O2 |
Fally(2000) |
287-298K |
240-294nm |
 |
O2 |
FrederickMentall(1982) |
200K |
176-243nm |
 |
O2 |
FrederickMentall(1982) |
250K |
176-243nm |
 |
O2 |
FrederickMentall(1982) |
300K |
176-243nm |
 |
O2 |
Friedrichs(2002) |
840-2250K |
174nm(fit) |
 |
O2 |
Friedrichs(2002) |
864-2256K |
174nm(meas) |
 |
O2 |
Gaily(1969) |
298K |
121.257-121.567nm |
 |
O2 |
Gardiner(1987) |
1200-3000K |
214nm(fit) |
 |
O2 |
Gardiner(1987) |
1240-2879K |
214nm(meas) |
 |
O2 |
Gibson(1983) |
295K |
140-174nm |
 |
O2 |
Gibson(1983) |
575K |
140-174nm |
 |
O2 |
GoldsteinMastrup(1966) |
298K |
127.2-174.5nm |
 |
O2 |
Greenblatt(1990) |
296K |
650-789nm |
 |
O2 |
Greenblatt(1990) |
296K |
687.2-763.8nm(max) |
 |
O2 |
Hartinger(2000) |
650-1300K |
193.4nm(fit) |
 |
O2 |
Hartinger(2000) |
673-1273K |
193.4nm(meas) |
 |
O2 |
HassonNicholls(1971) |
298K |
194.8-241.2nm |
 |
O2 |
HassonNicholls(1971) |
298K |
200-220nm |
 |
O2 |
He(2021) |
298K |
307.000-720.169nm |
 |
O2 |
HermanMentall(1982) |
298K |
200-220nm |
 |
O2 |
Holland(1993) |
298K |
49-103nm |
 |
O2 |
Hong(2011) |
1059-1745K |
219nm |
 |
O2 |
Hong(2011) |
1062-1686K |
227nm |
 |
O2 |
Hong(2011) |
1141-1727K |
211nm |
 |
O2 |
Hong(2011) |
1172-1866K |
215nm |
 |
O2 |
Hong(2011) |
1300-1749K |
235nm |
 |
O2 |
Hong(2011) |
1314-1758K |
223nm |
 |
O2 |
Hong(2011) |
1439-1760K |
231nm |
 |
O2 |
Hudson(1966) |
300K |
159-179nm |
 |
O2 |
Hudson(1966) |
600K |
160-186nm |
 |
O2 |
Hudson(1966) |
900K |
173-194nm |
 |
O2 |
HudsonMahle(1972) |
150K |
176-210nm |
 |
O2 |
HudsonMahle(1972) |
200K |
176-210nm |
 |
O2 |
HudsonMahle(1972) |
250K |
176-210nm |
 |
O2 |
HudsonMahle(1972) |
300K |
176-210nm |
 |
O2 |
Huffman(1964) |
295K |
137-164nm |
 |
O2 |
Huffman(1964) |
295K |
58-104nm(I) |
 |
O2 |
Huffman(1964) |
295K |
58-104nm(II) |
 |
O2 |
Huffman(1964) |
295K |
60-106nm |
 |
O2 |
Huffman(1969) |
295K |
1-122nm |
 |
O2 |
IUPAC(2004) |
298K |
205-240nm(rec) |
 |
O2 |
Jenouvrier(1986) |
298K |
205-240nm(I) |
 |
O2 |
Jenouvrier(1986) |
298K |
205-240nm(II) |
 |
O2 |
Johnston(1984) |
297K |
205-225nm |
 |
O2 |
Johnston(1984) |
298K |
170-242nm(fit) |
 |
O2 |
Jordan(2019) |
299K |
480.038-535.024nm |
 |
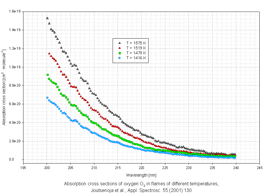
O2 |
Joutsenoja(2001) |
1416K |
200.1-239.8nm |
 |
O2 |
Joutsenoja(2001) |
1479K |
200.1-239.8nm |
 |
O2 |
Joutsenoja(2001) |
1500K |
200-240nm |
 |
O2 |
Joutsenoja(2001) |
1519K |
200.5-239.9nm |
 |
O2 |
Joutsenoja(2001) |
1575K |
200.1-239.8nm |
 |
O2 |
JPL-2006(2006) |
273K |
205-240nm(rec) |
 |
O2 |
JPL-2010(2011) |
298K |
205-245nm(rec) |
 |
O2 |
Kanik(1997) |
292K |
120.070nm |
 |
O2 |
Kanik(1997) |
293K |
119.955nm |
 |
O2 |
Kanik(1997) |
294K |
120.022nm |
 |
O2 |
Kanik(1997) |
369K |
120.022nm |
 |
O2 |
Kanik(1997) |
373K |
119.955nm |
 |
O2 |
Kanik(1997) |
374K |
120.070nm |
 |
O2 |
Kanik(1997) |
470K |
119.955nm |
 |
O2 |
Kanik(1997) |
471K |
120.022nm |
 |
O2 |
Kanik(1997) |
480K |
120.070nm |
 |
O2 |
Kanik(1997) |
574K |
120.022nm |
 |
O2 |
Kanik(1997) |
575K |
119.955nm |
 |
O2 |
Kanik(1997) |
576K |
120.070nm |
 |
O2 |
Kley(1984) |
298K |
121.567nm |
 |
O2 |
Kockarts(1976) |
300K |
176-203nm |
 |
O2 |
LadenburgVanVoorhis(1933) |
298K |
129.1-175.4nm(fit) |
 |
O2 |
LadenburgVanVoorhis(1933) |
298K |
133.3-165.3nm(meas) |
 |
O2 |
LaVilla(1975) |
298K |
2.216-2.367nm |
 |
O2 |
Lee(1955) |
295K |
103.00-109.88nm |
 |
O2 |
Lee(1955) |
295K |
109.60-121.72nm |
 |
O2 |
Lee(1955) |
295K |
20.72-67.58nm |
 |
O2 |
Lee(1955) |
295K |
85.06-103.62nm |
 |
O2 |
Lee(1973) |
298K |
17.9-71.5nm |
 |
O2 |
Lewis(1983) |
203K |
121.4-121.9nm |
 |
O2 |
Lewis(1983) |
288K |
121.4-121.9nm |
 |
O2 |
Lewis(1983) |
366K |
121.4-121.9nm |
 |
O2 |
Lewis(1983) |
84K |
121.4-121.9nm |
 |
O2 |
Lu(2010) |
303.7K |
115-180nm |
 |
O2 |
Lu(2010) |
38K |
124.30-124.53nm |
 |
O2 |
MatsunagaWatanabe(1967) |
298K |
58.0-107.7nm |
 |
O2 |
Mehlman(1978) |
298K |
6-34nm |
 |
O2 |
MetzgerCook(1964) |
298K |
110-142nm |
 |
O2 |
MetzgerCook(1964) |
298K |
130.2-136.8nm |
 |
O2 |
MetzgerCook(1964) |
298K |
159-167nm |
 |
O2 |
Morgan(1996) |
300K |
83.0010-83.4639nm |
 |
O2 |
Morgan(1996) |
300K |
83.268-83.4465nm |
 |
O2 |
Morgan(1996) |
300K |
83.2757-83.4465nm |
 |
O2 |
NicoletKennes(1986) |
298K |
200-244nm(int-c) |
 |
O2 |
Ogawa(1968) |
298K |
121.48-121.78nm |
 |
O2 |
Ogawa(1970) |
298K |
140.85-148.60nm |
 |
O2 |
Ogawa(1971) |
298K |
181-235nm |
 |
O2 |
OgawaOgawa(1975) |
298K |
108-152nm(a) |
 |
O2 |
OgawaOgawa(1975) |
298K |
108-160nm(X) |
 |
O2 |
Pirre(1984) |
298K |
202.1-219.8nm |
 |
O2 |
Pirre(1988) |
298K |
201.0-218.5nm(rec) |
 |
O2 |
Pirre(1988) |
298K |
201-217nm |
 |
O2 |
Pirre(1988) |
298K |
202-216nm |
 |
O2 |
Preston(1940) |
298K |
121.57nm |
 |
O2 |
ReilhacDamany(1977) |
298K |
10.0-50.0nm |
 |
O2 |
SamsonCairns(1964) |
298K |
30-104nm |
 |
O2 |
SamsonCairns(1965) |
298K |
20.93-53.70nm |
 |
O2 |
Shardanand(1969) |
298K |
200-245nm |
 |
O2 |
Shardanand(1969) |
298K |
248-280nm |
 |
O2 |
ShardanandPrasadRao(1977) |
300K |
200-220nm |
 |
O2 |
ShardanandPrasadRao(1977) |
300K |
200-250nm |
 |
O2 |
Starr(1976) |
300K |
130.2,130.5,130.6nm |
 |
O2 |
StarrLoewenstein(1972) |
298K |
58.43nm |
 |
O2 |
Thompson(1963) |
298K |
186-203nm |
 |
O2 |
Vattulainen(1997) |
1073K |
195-260nm(1bar) |
 |
O2 |
Vattulainen(1997) |
1073K |
195-260nm(4bar) |
 |
O2 |
Vattulainen(1997) |
1073K |
195-260nm(6bar) |
 |
O2 |
Vattulainen(1997) |
293K |
195-260nm(6bar) |
 |
O2 |
Vattulainen(1997) |
873K |
195-260nm(6bar) |
 |
O2 |
Wainfan(1955) |
295K |
47.3-97.9nm |
 |
O2 |
Wainfan(1955) |
295K |
68.7-99.1nm |
 |
O2 |
Watanabe(1952) |
298K |
120-155nm |
 |
O2 |
Watanabe(1953) |
298K |
127-189nm |
 |
O2 |
Watanabe(1953) |
298K |
159-175nm |
 |
O2 |
WatanabeMarmo(1956) |
298K |
140.74-145.21nm |
 |
O2 |
WatanabeMarmo(1956) |
298K |
85-110nm |
 |
O2 |
WeisslerLee(1952) |
295K |
30.378-130.604nm |
 |
O2 |
Wu(2005) |
295K |
107.97-108.70nm |
 |
O2 |
Wu(2005) |
295K |
82.92-83.53nm |
 |
O2 |
Wu(2005) |
295K |
91.12-91.87nm |
 |
O2 |
Wu(2005) |
535K |
107.97-108.70nm |
 |
O2 |
Wu(2005) |
535K |
82.91-83.55nm |
 |
O2 |
Wu(2005) |
535K |
91.12-91.87nm |
 |
O2 |
Yoshino(1987) |
79K |
179.029-180.060nm(16O2) |
 |
O2 |
Yoshino(1987) |
79K |
180.180-181.324nm(16O2) |
 |
O2 |
Yoshino(1987) |
79K |
181.488-182.648nm(16O2) |
 |
O2 |
Yoshino(1987) |
79K |
182.875-183.904nm(16O2) |
 |
O2 |
Yoshino(1987) |
79K |
184.501-185.701nm(16O2) |
 |
O2 |
Yoshino(1987) |
79K |
186.219-187.441nm(16O2) |
 |
O2 |
Yoshino(1987) |
79K |
188.072-189.100nm(16O2) |
 |
O2 |
Yoshino(1987) |
79K |
190.084-191.109nm(16O2) |
 |
O2 |
Yoshino(1987) |
79K |
192.246-193.270nm(16O2) |
 |
O2 |
Yoshino(1987) |
79K |
194.478-195.503nm(16O2) |
 |
O2 |
Yoshino(1987) |
79K |
197.024-197.902nm(16O2) |
 |
O2 |
Yoshino(1988) |
298K |
205-240nm(rec) |
 |
O2 |
Yoshino(1988) |
79K |
180.839-181.944nm(18O2) |
 |
O2 |
Yoshino(1988) |
79K |
182.131-183.234nm(18O2) |
 |
O2 |
Yoshino(1988) |
79K |
183.531-184.638nm(18O2) |
 |
O2 |
Yoshino(1988) |
79K |
185.078-186.150nm(18O2) |
 |
O2 |
Yoshino(1988) |
79K |
186.771-187.874nm(18O2) |
 |
O2 |
Yoshino(1988) |
79K |
188.642-189.667nm(18O2) |
 |
O2 |
Yoshino(1988) |
79K |
190.557-191.581nm(18O2) |
 |
O2 |
Yoshino(1988) |
79K |
192.605-193.633nm(18O2) |
 |
O2 |
Yoshino(1988) |
79K |
194.883-195.832nm(18O2) |
 |
O2 |
Yoshino(1989) |
79K |
180.587-181.346nm(16O18O) |
 |
O2 |
Yoshino(1989) |
79K |
181.884-182.732nm(16O18O) |
 |
O2 |
Yoshino(1989) |
79K |
183.234-184.077nm(16O18O) |
 |
O2 |
Yoshino(1989) |
79K |
184.774-185.529nm(16O18O) |
 |
O2 |
Yoshino(1989) |
79K |
186.480-187.529nm(16O18O) |
 |
O2 |
Yoshino(1989) |
79K |
188.412-189.215nm(16O18O) |
 |
O2 |
Yoshino(1989) |
79K |
190.295-191.113nm(16O18O) |
 |
O2 |
Yoshino(1989) |
79K |
192.493-193.237nm(16O18O) |
 |
O2 |
Yoshino(1989) |
79K |
194.742-195.312nm(16O18O) |
 |
O2 |
Yoshino(1992) |
300K |
179.2-180.2nm(12-0) |
 |
O2 |
Yoshino(1992) |
300K |
180.2-181.4nm(11-0) |
 |
O2 |
Yoshino(1992) |
300K |
181.4-182.9nm(10-0) |
 |
O2 |
Yoshino(1992) |
300K |
182.9-184.3nm(9-0) |
 |
O2 |
Yoshino(1992) |
300K |
184.3-186.1nm(8-0) |
 |
O2 |
Yoshino(1992) |
300K |
186.1-187.8nm(7-0) |
 |
O2 |
Yoshino(1992) |
300K |
187.8-189.9nm(6-0) |
 |
O2 |
Yoshino(1992) |
300K |
189.9-192.4nm(5-0) |
 |
O2 |
Yoshino(1992) |
300K |
192.4-195.7nm(4-0) |
 |
O2 |
Yoshino(1992) |
300K |
195.7-197.2nm(3-0) |
 |
O2 |
Yoshino(1992) |
300K |
197.2-199.8nm(2-0) |
 |
O2 |
Yoshino(1992) |
300K |
199.8-202.6nm(1-0) |
 |
O2 |
Yoshino(2005) |
295K |
129.62-172.53nm(absolute) |
 |
O2 |
Yoshino(2005) |
295K |
130.04-175.24nm |
 |
O2 |
Yoshino(2005) |
78K |
129.62-172.53nm(absolute) |
 |
O2 |
Yoshino(2005) |
90K |
129.62-172.53nm(absolute) |
 |
O2 |
Yoshino(2005) |
90K |
130.04-175.19nm |
 |
O2 |
Zabelinskii(2006) |
1553.7-2760.2K |
210nm(T dependence) |
 |
O2 |
ZuevStarikovskii(1990) |
1500K |
190-250nm(fit) |
 |
O2 |
ZuevStarikovskii(1990) |
1500K |
200-237nm(meas) |
 |
O2 |
ZuevStarikovskii(1990) |
2000K |
190-275nm(fit) |
 |
O2 |
ZuevStarikovskii(1990) |
2000K |
200-267nm(meas) |
 |
O2 |
ZuevStarikovskii(1990) |
3000K |
190-275nm(fit) |
 |
O2 |
ZuevStarikovskii(1990) |
3000K |
200-267nm(meas) |
 |
O2 |
ZuevStarikovskii(1990) |
4080K |
180-285nm(fit) |
 |
O2 |
ZuevStarikovskii(1990) |
4080K |
185-280nm(meas) |
|
Search cross sections
|