When referring to the Spectral Atlas, please cite our publication:
Keller-Rudek, H., Moortgat, G. K., Sander, R., and Sörensen,
R.: The MPI-Mainz UV/VIS spectral atlas of gaseous molecules of
atmospheric interest, Earth Syst. Sci. Data, 5, 365–373, (2013),
DOI: 10.5194/essd-5-365-2013
|
Species:
| NAME: | hydroxymethylhydroperoxide, HMHP |
| FORMULA: | HOCH2OOH |
|
CAS RN: | 15932-89-5 |
STRUCTURE
(FROM
NIST):
|
|
|
InChIKey: | NEZWFWIACBUQMN-UHFFFAOYSA-N |
Graphical Representations:
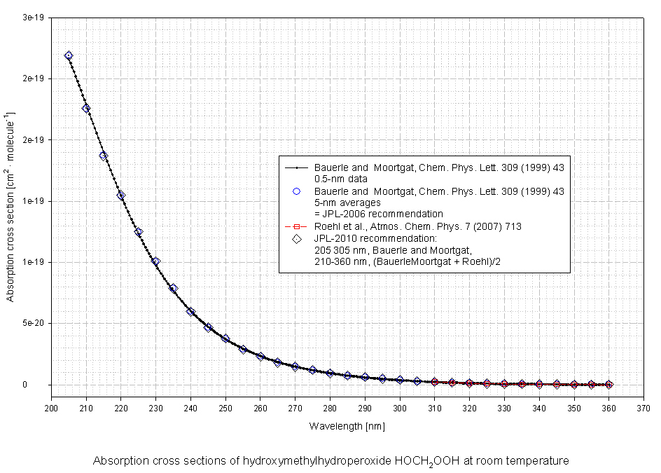
Data Sets:
|
Formula |
Author(Year) |
T |
λ |
 |
HOCH2OOH |
BauerleMoortgat(1999) |
298K |
205-360nm(0.5nm) |
 |
HOCH2OOH |
BauerleMoortgat(1999) |
298K |
205-360nm(5nm) |
 |
HOCH2OOH |
IUPAC(2006) |
298K |
205-365nm(rec) |
 |
HOCH2OOH |
JPL-2006(2006) |
298K |
205-360nm(rec) |
 |
HOCH2OOH |
JPL-2010(2011) |
298K |
205-360nm(rec) |
 |
HOCH2OOH |
Roehl(2007) |
298K |
310-360nm |
|
Search cross sections
|