When referring to the Spectral Atlas, please cite our publication:
Keller-Rudek, H., Moortgat, G. K., Sander, R., and Sörensen,
R.: The MPI-Mainz UV/VIS spectral atlas of gaseous molecules of
atmospheric interest, Earth Syst. Sci. Data, 5, 365–373, (2013),
DOI: 10.5194/essd-5-365-2013
|
Species:
| NAME: | trimethylaluminium, TMAl |
| FORMULA: | Al(CH3)3 |
|
CAS RN: | 75-24-1 |
STRUCTURE
(FROM
NIST):
|
|
Graphical Representations:
Data Sets:
|
Formula |
Author(Year) |
T |
λ |
 |
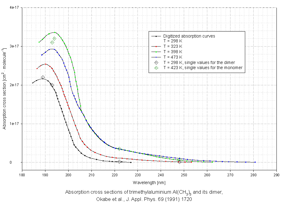
Al(CH3)3 |
Okabe(1991) |
298K |
184-227nm |
 |
Al(CH3)3 |
Okabe(1991) |
298K |
189-248nm |
 |
Al(CH3)3 |
Okabe(1991) |
323K |
186-253nm |
 |
Al(CH3)3 |
Okabe(1991) |
398K |
187-262nm |
 |
Al(CH3)3 |
Okabe(1991) |
423K |
193-248nm |
 |
Al(CH3)3 |
Okabe(1991) |
473K |
188-281nm |
|
Search cross sections
|