When referring to the Spectral Atlas, please cite our publication:
Keller-Rudek, H., Moortgat, G. K., Sander, R., and Sörensen,
R.: The MPI-Mainz UV/VIS spectral atlas of gaseous molecules of
atmospheric interest, Earth Syst. Sci. Data, 5, 365–373, (2013),
DOI: 10.5194/essd-5-365-2013
|
Species:
| NAME: | dimethylzinc |
| FORMULA: | Zn(CH3)2 |
|
CAS RN: | 557-20-0 |
STRUCTURE
(FROM
NIST):
|
|
Graphical Representations:
Data Sets:
|
Formula |
Author(Year) |
T |
λ |
 |
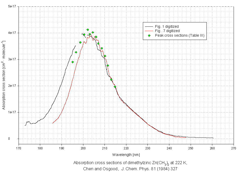
Zn(CH3)2 |
ChenOsgood(1984) |
222K |
172-261nm |
 |
Zn(CH3)2 |
ChenOsgood(1984) |
222K |
185-248nm |
 |
Zn(CH3)2 |
ChenOsgood(1984) |
222K |
195-215nm(max) |
|
Search cross sections
|